Робастное управление
Робастность [англ. robust < лат. robuste — прочно, крепко] означает малое изменение выхода замкнутой системы управления при малом изменении параметров объекта управления (или просто устойчивость к помехам).
Роба́стное управле́ние — совокупность методов теории управления, целью которых является синтез такого регулятора, который обеспечивал бы хорошее качество управления (к примеру, запасы устойчивости), если объект управления отличается от расчётного или его математическая модель неизвестна.
Изменение тех или иных свойств системы, в частности, изменение её запаса устойчивости, вызванное вариациями её параметров, называется чувствительностью системы. Системы, сохраняющие при всех возможных вариациях параметров необходимый запас устойчивости, получили название робастных. Обычно робастные контроллеры применяются для управления объектами с неизвестной или неполной математической моделью и объектами с неопределённостями.[1]
Для проектирования робастных систем управления используются различные методы оптимального и робастного синтеза, среди которых синтез контроллеров в пространствах H∞ и H2, ЛМН-контроллеры, μ-контроллеры.
Задача робастного управления
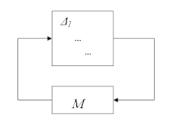
Главной задачей синтеза робастных систем управления является поиск закона управления, который сохранял бы выходные переменные системы и сигналы ошибки в заданных допустимых пределах несмотря на наличие неопределённостей в контуре управления. Неопределённости могут принимать любые формы, однако наиболее существенными являются шумы, нелинейности и неточности в знании передаточной функции объекта управления.
Общая каноническая задача робастного управления математически описывается в следующем виде:
Пусть передаточная функция объекта управления — . Необходимо синтезировать такой контроллер с передаточной функцией , чтобы передаточная функция замкнутой системы удовлетворяла следующему неравенству, которое называется критерием робастности:
где
- ,
- — матрица неопределённостей (см. ниже),
- — -е сингулярное число матрицы.
можно рассматривать как «размер» наименьшей неопределённости на каждой частоте, которая может сделать систему неустойчивой.
Для того, чтобы внести в робастный синтез требования по качеству управления, используется фиктивная неопределённость . При её отсутствии задача является задачей обеспечения робастной устойчивости.
В робастном анализе требуется найти как границу устойчивости, в робастном же синтезе требуется определить передаточную функцию контроллера для соответствия критерию робастности.
Структурные и неструктурные неопределённости

В робастном управлении рассматриваются два вида неопределённостей — структурные и неструктурные. Неструктурные неопределённости обычно представляют собой элементы, зависящие от частоты, такие как, например, насыщение в силовых приводах или возмущения в низкочастотной области АФЧХ объекта управления. Воздействие неструктурных неопределённостей на номинальный объект управления может быть как аддитивным
так и мультипликативным
Структурные неопределённости представляют собой изменения в динамике объекта управления, к примеру:
- Неопределённости в элементах матриц пространства состояний (A, B, C, D).
- Неопределённости в нулях или полюсах передаточной функции объекта управления.
Общий подход, сформулированный в канонической задаче робастного управления, позволяет выявить на этапе проектирования как структурные, так и неструктурные неопределённости и использовать их в процессе синтеза робастного контроллера.
Робастный анализ

Целью робастного анализа является поиск такой неопределённости , при которой система становится неустойчивой. В ходе анализа решаются две задачи:
- Определение модели неопределённостей
- Приведение структурной схемы системы к стандартному виду, когда все неопределённости структурно отделяются от номинальной схемы системы.
По теореме о робастной устойчивости система устойчива при любых , удовлетворяющих неравенству
Эта теорема обеспечивает достаточные условия робастной устойчивости.
Существуют также специальные методы робастного анализа, такие как диагональное масштабирование или анализ по собственным числам. Следует заметить, что малое изменение никогда не влечёт за собой большое изменение , то есть анализ по сингулярным числам лучше подходит для робастного управления, чем анализ по собственным числам.
Робастный синтез
Целью робастного синтеза является проектирование такого контроллера, который бы удовлетворял критерию робастности. Начиная с 50-х годов XX века был разработан ряд процедур и алгоритмов, позволяющих решить задачу робастного синтеза. Робастные системы управления могут сочетать черты как классического управления, так и адаптивного и нечёткого.
Ниже представлены основные технологии синтеза робастных систем управления:
| Название | Преимущества | Недостатки |
|---|---|---|
| H∞-синтез | Работает как с устойчивостью, так и с чувствительностью системы, замкнутый контур всегда устойчив, прямой однопроходный алгоритм синтеза | Требует особого внимания к параметрической робастности объекта управления |
| H2-синтез | Работает как с устойчивостью, так и с чувствительностью системы, замкнутый контур всегда устойчив, точное формирование передаточной функции контроллера | Большое количество итераций |
| LQG-синтез | Использование доступной информации о помехах | Не гарантируются запасы устойчивости, требуется точная модель объекта, большое количество итераций |
| LQR-синтез | Гарантированное обеспечение робастной устойчивости, безынерционный регулятор. | Требуется обратная связь по всему вектору состояния, требуется точная модель объекта, большое количество итераций |
| μ-синтез | Работает с широким классом неопределённостей | Большой порядок контроллера |
См. также
Примечания
- ↑ Ротач В.Я. Теория автоматического управления. — 1-е. — М.: ЗАО "Издательский дом МЭИ", 2008. — С. 333. — 129 с. — ISBN 978-5-383-00326-8.
Литература
- Никифоров В. О. Адаптивное и робастное управление с компенсацией возмущений. — СПб.: Наука. — 282 с.
- Егупов Н. Д., Пупков К. А. Методы классической и современной теории автоматического управления. Синтез регуляторов систем автоматического управления. В 5 тт. — 2. — МГТУ им. Баумана, 2004. — Т. 3. — 616 с.
- Улянов С., Литвинцева Л., Добрынин В, Мишин А. Интеллектуальное робастное управление: технологии мягких вычислений. — 1. — PronetLabs, 2011. — Т. 1. — 406 с.