Амфетамин
| Амфетамин | |
|---|---|
| |
| |
| |
| Химическое соединение | |
| ИЮПАК | (±)-1-фенилпропан-2-амин |
| Брутто-формула | C9H13N |
| Молярная масса | 135,2062 |
| CAS | 300-62-9 |
| PubChem | 3007 |
| DrugBank | DB00182 |
| Состав | |
| Классификация | |
| Фармакол. группа | Психостимуляторы |
| АТХ | N06BA01 |
| МКБ-10 | F90.0, G47.4 |
| Фармакокинетика | |
| Биодоступн. | Перорально: 90 % |
| Связывание с белками плазмы | 15-40 % |
| Метаболизм | Печень (CYP2D6, CYP3A4, CYP1A2) |
| Период полувывед. | 8-30 ч, зависит от pH урины |
| Экскреция | Почки, значительная часть в неизменном виде |
| Лекарственные формы | |
|
В медицине: таблетки, капсулы с пролонгированным действием; нелегально: порошок, таблетки |
|
| Способы введения | |
|
В медицине: перорально, нелегально: также интраназально, внутривенно, иногда внутримышечно, через курение. |
|
| Другие названия | |
| «Аддералл», см. также Декстроамфетамин | |
Амфетамин (сокр. от α-метилфенилэтиламин) — синтетический стимулятор центральной нервной системы и анорексигенное средство, производное фенилэтиламина. Механизм действия основан на усиленном синаптическом высвобождении моноаминовых нейромедиаторов.
Амфетамин является рекреационным психоактивным веществом, способным вызывать психическую зависимость. Во многих странах также ограниченно применяется в медицине при лечении СДВГ и нарколепсии. Оборот амфетамина ограничен международным и национальными законодательствами.
История
Впервые амфетамин был синтезирован в 1887 году в Германии в виде рацемической смеси румынским химиком Лазэром Еделяну. Вещество привлекло к себе внимание в 1920-е годы в качестве заменителя эфедрина при лечении астмы. Психоактивные свойства амфетамина были обнаружены американским биохимиком Гордоном Аллесом в 1929 году. В 1932 году компания Smith, Kline & French (ныне подразделение GlaxoSmithKline) начала продажу амфетамина в форме основания для использования в качестве антиконгестанта под торговым названием «Бензедрин» (англ. Benzedrine). В 1937 году в продажу поступили соли амфетамина в виде таблеток, рекламируемые как средство для лечения нарколепсии, болезни Паркинсона, депрессии, а также как средство для похудения. Случаи рекреационного использования амфетамина были описаны уже в 1936 году[1][2][3].
Во время Второй мировой войны США и Великобритания снабжали своих военнослужащих амфетамином в таблетках (армии Германии и Японии использовали метамфетамин)[2].
В послевоенные годы объёмы производства амфетамина начали резко расти. Так, в одних только Соединённых Штатах Америки в 1962 году было произведено около 80 тонн солей амфетамина, что соответствовало сорока трём стандартным 10 мг дозам на каждого человека в течение года. В 1960-е годы рецепты на амфетамин составляли порядка 3 % всех рецептов, выписанных врачами в США и Великобритании[1][2].
Вред от бесконтрольного употребления амфетамина стал очевиден уже к началу 1960-х годов. Единичные случаи «амфетаминовых психозов» с характерными параноидными симптомами регистрировались ещё в 1930-х годах, а уже в 1958 году была убедительно доказана связь этих симптомов с приёмом препарата. Примерно в это же время стало понятно, что амфетамин способен вызывать сильную психологическую зависимость. В 1970 году власти США внесли амфетамин в перечень контролируемых веществ, а в 1971 году ООН была принята международная Конвенция о психотропных веществах, предметом регулирования которой был в том числе и амфетамин. К концу 1970-х годов потребление амфетамина в США пошло на убыль, с одновременным ростом потребления кокаина. Потребление амфетамина в Европе также упало, хотя он оставался относительно популярным в Скандинавии, Польше и Прибалтике[2][3].
Свойства
Свободное основание амфетамина — бесцветная летучая маслянистая жидкость с характерным «рыбным» запахом, плохо растворимая в воде, хорошо растворимая в органических растворителях, температура кипения 200—203 °C[4][5][6].
Амфетамин обычно встречается в виде солей, хорошо растворимых в воде: сульфата, фосфат и гидрохлорида. Наиболее распространённая соль, сульфат амфетамина, представляет собой белый порошок с температурой плавления 280—281 °C. Сульфат декстроамфетамина разлагается при 300 °C[4][5][7].
Растворимость амфетамина и его солей в различных растворителях[7]:
| Растворитель | Основание | Сульфат | Фосфат | Гидрохлорид |
|---|---|---|---|---|
| Вода | плохо | хорошо | хорошо | хорошо |
| Метанол, этанол | хорошо | плохо | плохо | хорошо |
| Диэтиловый эфир | хорошо | нет | нет | нет |
| Хлороформ | хорошо | нет | нет | хорошо |
Амфетамин существует в виде пары энантиомеров: правовращающего (S-(+)-амфетамин, декстроамфетамин) и левовращающего (R-(−)-амфетамин, левамфетамин). Биологическая активность изомеров различается: правовращающий изомер действует на ЦНС в 3-4 раза сильнее левовращающего. Влияние на симпатическую нервную систему, напротив, выше у левовращающего изомера[8][9].
Механизм действия

Действие амфетамина основано на увеличении выброса катехоламинов, в особенности дофамина и норадреналина, из пресинаптических окончаний. При нормальной работе дофаминергического синапса выброс дофамина в синаптическую щель осуществляется посредством экзоцитоза везикул, содержащих дофамин. После этого происходит обратный захват дофамина в клетку: транспортер DAT (дофаминный транспортер) перемещает дофамин из синаптической щели в цитоплазму, а транспортер VMAT (везикулярный транспортер моноаминов) — из цитоплазмы в везикулу. При проникновении в клетку амфетамина транспортеры начинают работать в противоположном направлении, перемещая дофамин из везикулы в цитоплазму и далее в синаптическую щель. В результате концентрация дофамина в синаптической щели возрастает, хотя обычный (везикулярный) механизм выброса нейромедиатора уменьшается[10][11].
Механизм выброса норадреналина под действием амфетамина аналогичен вышеописанному. Амфетамин также влияет на выброс серотонина, но на порядок слабее, чем MDMA[10].
Воздействие на организм
Воздействие амфетамина на организм связано с выбросом дофамина и норадреналина как в центральной, так и в периферической нервных системах[10].
Центральные эффекты
Центральное стимулирующее действие амфетамина выражается в улучшении настроения, повышении внимания и способности к концентрации, а также в появлении чувства уверенности и комфорта. Амфетамин повышает двигательную и речевую активность, уменьшает сонливость и аппетит, повышает работоспособность. Негативная сторона центральных эффектов амфетамина может быть выражена в появлении чувства беспокойства, бессоннице и треморе. Также амфетамин может вызывать панику и стимуляторный психоз[9][12].
Наиболее серьёзным проявлением систематического злоупотребления амфетамином является нарушение психики, трудноотличимое от шизофрении. Как правило, этот эффект является следствием длительного употребления амфетамина в высоких дозах, но может проявиться и после единственной дозы. Симптомы обычно проходят через неделю после отмены препарата. Другим следствием хронического злоупотребления амфетамином является так называемое «стереотипное поведение», выражающееся в монотонном повторении одного и того же простого действия в течение нескольких часов[9][12].
Периферические эффекты
Периферическое действие амфетамина схоже с действием кокаина и связано, главным образом, со стимуляцией симпатической нервной системы. Влияние на сердечно-сосудистую систему проявляется в тахикардии и повышенном артериальном давлении. Кроме того, амфетамин может в некоторых случаях вызвать мидриаз, диафорез, чаще — гипертермию, озноб и сухость во рту[9][10].
Передозировка
Передозировка амфетамина опасна прежде всего для сердечно-сосудистой системы. Вызываемые амфетамином тахикардия, повышенное артериальное давление и спазм сосудов могут привести к ишемическому инсульту, субарахноидальному кровоизлиянию, инфаркту миокарда, расслоению аорты. Другими опасными для жизни последствиями передозировки могут являться метаболический ацидоз, рабдомиолиз, острая почечная недостаточность и коагулопатия[10].
Основным средством, применяемым при передозировке амфетамина, являются бензодиазепины. Также могут применяться барбитураты и пропофол для снятия конвульсий, адреноблокаторы и сосудорасширяющие средства для снижения артериального давления. Для снижения температуры тела возможно применение внешнего охлаждения[10].
Толерантность и сенсибилизация
При регулярном употреблении амфетамина ко многим его эффектам, таким как улучшение настроения, действие на сердечно-сосудистую систему и подавление аппетита, развивается толерантность, в связи с чем принимающие амфетамин вынуждены постоянно увеличивать дозу, доходя до 250—1000 мг амфетамина ежедневно[9].
С другой стороны, при применении препарата в терапевтических дозах толерантность не развивается к «пробуждающему» эффекту, используемому при лечении нарколепсии, а также к действию на детей с синдромом дефицита внимания и гиперактивности[9].
Помимо толерантности амфетамин способен вызывать сенсибилизацию (обратную толерантность). Так, при регулярном применении усиливается способность амфетамина вызывать гиперактивность и стереотипное поведение. Этот эффект, как считается, связан с сенсибилизацией дофаминергических нейронов в стриатуме и может проявиться даже при нечастом употреблении амфетамина[9].
Зависимость
Как и многие другие наркотики, амфетамин способен вызывать психологическую зависимость, выраженную в тяге к принятию наркотика и проявлении поведения, направленного на его поиск. Формирование психологической зависимости от амфетамина связано с действием на дофаминергические нейроны в вентральной области покрышки и Nucleus accumbens, которые отвечают за обучение и позитивное подкрепление[9][13].
Вопрос существования физической зависимости от амфетамина неоднозначен. Резкая отмена препарата после длительного применения (или применения в течение нескольких дней в высоких дозах) вызывает усталость, сонливость, голод и депрессию такой степени, что существует реальный риск самоубийства. Эти симптомы могут считаться составляющими синдрома отмены или просто следствиями постоянной нехватки сна и пищи, которые сопутствуют регулярному употреблению амфетамина[9].
Синдром отмены обычно проявляется в течение 24 часов после последнего употребления амфетамина, причем абстинентный синдром включает две общие фазы, которые могут длиться 3 недели и более. Первая фаза этого синдрома - острая, которая проходит в течение недели. Вторая фаза - "подострая", которую характеризует затяжной набор абстинентных симптомов, которые обычно проходят через 3 недели (включают продолжающиеся нарушения сна (легкая гиперсомния или бессонница), повышенный аппетит). Хотя наиболее тяжелые симптомы, возникающие во время отмены амфетамина, проходят через неделю или меньше, некоторые симптомы могут сохраняться неделями или месяцами. При этом симптомы отмены амфетамина могут побудить людей вернуться к регулярному употреблению наркотиков. Согласно обширному обзору научных статей, проведенному в 2009 г.[14], никакие лекарства не демонстрируют значительного эффекта по сравнению с плацебо в уменьшении симптомов острой отмены амфетамина.
Исследования на животных установили, что:
1) физические упражнения способны предотвратить рецидив приема амфетамина после его отмены[15];
2) АМФ-изотерапия (AMPH-ISO) амфетамином в ультравысоком разведении (10^(-24)мг/мл) эффективна в качестве заместительной терапии для лечения зависимости от амфетамина, в том числе рецидивов употребления и тревожного поведения [16]
3) Омега-3 (рыбий жир) способен предотвратить рецидив приема психостимуляторов, в том числе амфетамина[17]
Другие последствия длительного употребления
При хроническом употреблении амфетамина часто возникают вегетососудистые нарушения, падение массы тела и истощение, а также патологическое развитие личности[18]. У некоторых потребителей также возникают хронические амфетаминовые психозы, схожие с шизофреническим психозом и характеризующиеся галлюцинаторно-бредовым синдромом[18].
Формы выпуска и фармакокинетика

Свободное основание амфетамина представляет собой жидкость с ограниченной устойчивостью, поэтому основными формами выпуска являются соли амфетамина: сульфат, фосфат и гидрохлорид. Биодоступность при пероральном употреблении составляет 90 %[19], после приёма 10 мг дозы максимальная концентрация препарата в плазме составляет около 20 мкг/л, объём распределения 3-5 л/кг. Связывание с белками плазмы 15-40 %. Амфетамин липофилен и легко преодолевает гемато-энцефалический барьер. Отсутствие в молекуле амфетамина гидроксильных групп, типичных для катехоламинов, препятствует метаболизации катехол-O-метилтрансферазой (COMT), а наличие метильной группы в позиции α придаёт молекуле устойчивость к действию моноаминооксидазы (МАО). Около 20-30 % выводится почками в неизменном виде, период полувыведения составляет 8-30 часов и сильно зависит от pH мочи[4][10][20][21].
В медицине амфетамин применяется перорально в виде таблеток или капсул с пролонгированным действием[22].
На чёрном рынке амфетамин доступен, как правило, в виде порошка, иногда в виде таблеток[4]. При рекреационном использовании амфетамин, как правило, принимается перорально или интраназально. Среди наркоманов со стажем распространено внутривенное введение амфетамина[11][20].
Метаболизм

Несмотря на то, что значительная часть амфетамина выводится из организма в неизменном виде, амфетамин также подвергается как фазе I метаболизации (преобразование в более полярные производные), так и фазе II метаболизации (конъюгации). Фаза I метаболизации катализируется двумя системами ферментов: цитохромами P450 (включая CYP2D6, CYP3A4 и CYP1A2) и флавин-содержащей монооксигеназой. Декстроамфетамин метаболизируется более активно, чем левамфетамин[23][24].
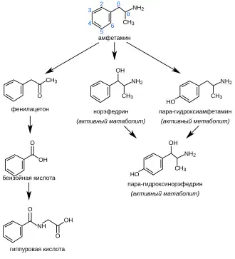
Основным путём метаболизации является дезаминирование амфетамина с образованием неактивного метаболита, фенилацетона (P2P), который затем окисляется до бензойной кислоты и выводится в виде гиппуровой кислоты или подвергается конъюгации с глюкуроновой кислотой и выводится в виде глюкуронида. Помимо этого, амфетамин также подвергается гидроксилированию в позиции β и 4-й позиции ароматического кольца с образованием норэфедрина и пара-гидроксиамфетамина соответственно, которые затем частично гидроксилируются до пара-гидроксинорэфедрина. Норэфедрин, пара-гидроксиамфетамин и пара-гидроксинорэфедрин являются активными метаболитами. В процессе фазы II метаболизации метаболиты, гидроксилированные по ароматическому кольцу, также подвергаются конъюгации с образованием глюкуронидов[23][24].
При нормальных условиях 16-28 % рацемического амфетамина выводится в виде гиппуровой кислоты, 4 % в виде бензоилглюкуронида, 2-4 % в виде пара-гидроксиамфетамина, 2 % в виде норэфедрина, <1 % в виде фенилацетона и <0,5 % в виде пара-гидроксинорэфедрина[24].
Синтез
Реакция Лейкарта
Одним из самых распространенных способов нелегального производства амфетамина является реакция Лейкарта, заключающаяся в конденсации фенилацетона (фенил-2-пропанона, P2P) с формамидом или формиатом аммония в присутствии муравьиной кислоты и последующем кислотном гидролизе образовавшегося N-формиламфетамина[6].

Восстановительное аминирование фенилацетона
Амфетамин также может быть получен восстановительным аминированием фенилацетона в присутствии металлического катализатора. Реакция проходит с образованием промежуточного имина[6]. Примерами реакции являются:
- Гетерогенное каталитическое восстановление фенилацетона c аммиаком. Катализатором может быть палладий на угле, оксид платины или никель Ренея[6].
- Восстановление амальгамами алюминия, цинка или магния[6].
- Восстановление алюмогидридом лития или борогидридом натрия.

- Реакция фенилацетона с гидроксиламином в слабощелочной среде с образованием промежуточного оксима, который затем восстанавливается натрием в присутствии метанола (именно такая реакция была предложена в патенте Smith, Kline & French 1930 года), алюмогидридом лития или в присутствии палладиевого катализатора[6][25].

Из бензальдегида через фенил-2-нитропропен
Ещё одним способом синтеза амфетамина является конденсация бензальдегида с нитроэтаном в присутствии гидроксида кальция с образованием фенил-2-нитропропена, который затем восстанавливается водородом (на никелевом либо палладиевом катализаторе) или алюмогидридом лития[6][25].

Замещение уходящей группы
Амфетамин может быть получен реакцией аллилбензола с соляной кислотой с образованием 2-хлор-1-фенилпропана, который затем подвергается действию раствора аммиака в метаноле[25][26].

Стереоселективный синтез
При необходимости, стереоизомеры амфетамина — декстроамфетамин и левамфетамин — могут быть разделены с применением битартрата калия. Кроме того, опубликован метод стереоселективного синтеза декстроамфетамина, который заключается в восстановительном аминировании фенилацетона с помощью S-α-метилбензиламина. Полученный таким образом имин восстанавливается никелем Ренея и рекристаллизуется в виде гидрохлорида. После этого N-бензильная группа подвергается гидрогенолизу в присутствии палладия на угле с образованием декстроамфетамина высокой оптической чистоты[25].

Медицинское применение

Одной из основных сфер применения амфетамина в медицине (в странах, где такое применение разрешено) является лечение синдрома дефицита внимания и гиперактивности (СДВГ) у детей (наряду с метилфенидатом). Следующие препараты амфетамина были одобрены FDA для этой цели[27]:
- Дексамфетамин (правовращающий энантиомер амфетамина; торговое наименование — «декседрин»)
- Амфетамина аспартата моногидрат + амфетамина сульфат + дексамфетамина сульфат + дексамфетамина сахарат (торговые наименования: аддералл и аддералл XR)[28]
- Лиздексамфетамин (основное торговое наименование — «вивансе»).
Применение стимуляторов ЦНС улучшает состояние детей, страдающих СДВГ, в 75 % случаев[27], однако их эффективность в долгосрочной перспективе вызывает сомнения[29]. Высокий потенциал злоупотребления амфетамином привёл к созданию препаратов пролонгированного действия, в виде капсул с замедленным высвобождением (Adderall XR) или пролекарства (лиздексамфетамин), применение которых в рекреационных целях менее вероятно[30].
Другим показанием к применению препаратов на основе амфетамина является нарколепсия[31].
Противопоказания
Амфетамин противопоказан при болезнях сердечно-сосудистой системы, включая артериальную гипертензию в умеренной или тяжёлой форме, структурных аномалиях сердца, атеросклерозе, гипервозбудимости, гипертиреозе, истории злоупотребления алкоголем или наркотиками[32].
С осторожностью применяется при анорексии, артериальной гипертензии в лёгкой форме, психозах или биполярном расстройстве, истории эпилепсии, тиках и синдроме Туретта, закрытоугольной глаукоме, острой порфирии[32].
Следует избегать приёма препаратов амфетамина во время беременности и кормления грудью (амфетамин проникает в грудное молоко)[32].
Лекарственные взаимодействия
Не рекомендуется одновременный приём препаратов амфетамина с гуанетидином (антагонизм действия), а также ингибиторами МАО, включая моклобемид (риск гипертонического криза)[33]. Амфетамин ослабляет действие и антигистаминных, адреноблокирующих, антигипертензивных средств, фенобарбитала, фенитоина, этосуксимида и алкалоидов чемерицы[28]. Усиливает действие трициклических антидепрессантов, норадреналина и петидина (меперидина)[28].
Нелегальное использование

По данным Европейского центра мониторинга наркотиков и наркомании, рекреационных пользователей амфетамина можно разделить на две группы: интегрированные в общество и маргинализированные. Интегрированные в общество пользователи составляют бо́льшую часть потребителей амфетамина в Европе. Они обычно моложе, имеют хорошее образование, постоянное жилье (или живут с родителями) и постоянный источник дохода. Как правило, они принимают амфетамин в увеселительных заведениях, таких как ночные клубы. Среди этой группы также распространено курение марихуаны[34].
Начиная с 2005 года в Европе проводились исследования по социологическому анализу употребления наркотиков, получившие общее название эпидемиология сточных вод. Это методики оценки бытового употребления наркотиков на основании анализа содержания продуктов метаболизма в сточных водах. Методики были стандартизованы в 2010 году и по состоянию на 2022 год проводились регулярные исследования в нескольких европейских странах, по широкому спектру наркотиков, включая амфетамин[35].
Маргинализированные пользователи составляют более проблемную группу пользователей амфетамина, среди которой распространено внутривенное введение. Многие из них зарабатывают на жизнь торговлей наркотиками, мелкими кражами или попрошайничеством. Внутривенное введение амфетамина пользователями этой группы, по большей части, несёт высокий риск заражения ВИЧ, гепатитом C и другими инфекциями, хотя в целом заражение менее вероятно, чем в группах опиоидных наркоманов[34].
Кроме того, отмечается употребление амфетамина в ситуациях, требующих длительной работоспособности: студентами для подготовки к экзаменам, водителями-дальнобойщиками, спортсменами и бизнесменами[36].
Качество уличного амфетамина
Амфетамин, поступающий в нелегальную розничную продажу, как правило, отличается невысоким качеством, которое заметно упало в первом десятилетии XXI века. В 2009 году в Европе среднее содержание амфетамина в конфискованных образцах (в виде порошка) составляло от 1 % (Болгария) до 29 % (Норвегия). Остальную массу составляют добавки, такие как кофеин, креатин и эфедрин, инертные вещества: лактоза, сахароза, глюкоза, а также примеси, вызванные недостаточной очисткой действующего вещества при производстве и зависящие от используемого метода синтеза: фенилацетон, N-формиламфетамин и другие. В то же время встречаются и образцы высокой степени очистки, содержащие до 96 % сульфата амфетамина (70 % в пересчёте на основание). Таблетка может содержать до 40 мг действующего вещества. Существенные различия в содержании действующего вещества увеличивают риск передозировки[4][37][38].
Рынок
В 2014 году в мире была легально произведена 41 т стимуляторов амфетаминового ряда (не считая лиздексамфетамина), из которых 42 % составлял декстроамфетамин и 36 % — рацемический амфетамин, 9 % — метамфетамин и 8 % — левамфетамин. Основными легальными производителями стимуляторов амфетаминового ряда в 2014 году в мире являются США (71 %, в том числе 83 % всего амфетамина и 92 % декстроамфетамина), Франция (24 %, в том числе 17 % всего амфетамина) и Венгрия (почти весь остаток). Основным легальным потребителем амфетаминов являются США: в 2014 году в этой стране ежедневно продавалось 10,68 стандартных дневных доз на 1000 жителей, главным образом для лечения СДВГ, с тенденцией к замене этих стимуляторов на лиздексамфетамин. Амфетамины, легально произведённые во Франции, практически полностью поставляются на экспорт[39].
По оценкам Управления ООН по наркотикам и преступности (UNODC) в 2008 году в мире было нелегально произведено от 161 до 594 т стимуляторов амфетаминового ряда (в пересчёте на чистое вещество), при этом в том же году было конфисковано 47,4 т[40]. В 2009 году было конфисковано 33 т амфетамина и 31 т метамфетамина[41].
По тем же оценкам, в мире от 0,3 % до 1,3 % людей в возрасте от 15 до 64 лет хотя бы один раз за 2009 год принимали стимулятор амфетаминового ряда. В России эта доля составляет 0,2-0,6 %[42].
По состоянию на 2010 год средняя розничная цена одного грамма амфетамина на чёрном рынке (без учёта степени очистки) составляла от $4,2 (Мьянма) до $911,5 (Япония), в России — $84,5[43].
| Мефедрон | Гашиш | «Шишки» | Амфетамин | Альфа-ПВП | Кокаин | Другие | |
|---|---|---|---|---|---|---|---|
| Волгоград | 16,7 | 33,7 | 20.5 | 9,4 | 15,3 | 1,2 | 3,2 |
| Воронеж | 15,2 | 14,1 | 4,2 | 27,3 | 22,0 | 2,0 | 15,2 |
| Екатеринбург | 37,3 | 30,8 | 9,2 | 5,0 | 10,1 | 1,7 | 5,9 |
| Казань | 35,0 | 26,6 | 5,4 | 6,5 | 13,4 | 4,6 | 8,6 |
| Калининград | 7,7 | 12,0 | 11,3 | 34,9 | 18,6 | 1,5 | 14,0 |
| Краснодар | 27,6 | 11,5 | 17,9 | 4,3 | 24,0 | 2,9 | 11,8 |
| Красноярск | 9,1 | 23,5 | 12,4 | 22,9 | 10,6 | 2,8 | 18,7 |
| Москва | 21,8 | 20,5 | 15,4 | 11,6 | 10,4 | 8,7 | 11,5 |
| Набережные Челны | 31,6 | 30,6 | 5,1 | 8,1 | 13,6 | 0,7 | 10,3 |
| Нижний Новгород | 32,1 | 26,1 | 12,7 | 13,3 | 4,7 | 3,3 | 7,7 |
| Новосибирск | 15,7 | 33,8 | 10,0 | 13,0 | 10,5 | 2,3 | 14,7 |
| Омск | 42,6 | 11,5 | 19,0 | 3,6 | 11,7 | 0,8 | 10,8 |
| Пермь | 30,0 | 19,0 | 5,7 | 22,3 | 13,3 | 1,3 | 8,4 |
| Ростов-на-Дону | 36,4 | 18,7 | 20,0 | 6,5 | 7,8 | 2,2 | 8,4 |
| Самара | 41,4 | 16,4 | 12,9 | 8,0 | 13,5 | 1,3 | 6,5 |
| Санкт-Петербург | 16,8 | 19,7 | 12,1 | 14,9 | 19,6 | 4,1 | 12,9 |
| Севастополь[45] | 6,3 | 3,2 | 16,7 | 16,2 | 47,5 | 0,1 | 10,0 |
| Сочи | 31,8 | 22,6 | 12,4 | 4,1 | 16,1 | 7,2 | 5,8 |
| Уфа | 38,9 | 21,6 | 10,8 | 9,8 | 11,0 | 0,7 | 7,2 |
| Челябинск | 39,7 | 27,1 | 6,2 | 6,0 | 13,1 | 0,4 | 7,5 |
| Ярославль | 18,6 | 26,4 | 5,8 | 23,2 | 11,6 | 1,4 | 13,0 |
Правовой статус
Международный контроль
В соответствии с Конвенцией о психотропных веществах 1971 году, амфетамин и его стереоизомеры внесены в Список II «Зелёного списка». Согласно Конвенции, государства-участники должны обеспечить обязательное лицензирование производства, торговли (включая международную) и распространения веществ из Списка II; кроме того, государства обязаны предоставлять статистическую информацию в Международный комитет по контролю над наркотиками[46][47].
В России
Постановлением Правительства РФ № 486 от 30 июня 2010 года амфетамин был внесён в список наркотических средств, психотропных веществ и их прекурсоров, оборот которых в Российской Федерации запрещен (Список I). До этого постановления амфетамин входил в Список II[48]. При этом левовращающий изомер амфетамина, левамфетамин, входит в Список III[49].
В США
В США амфетамин внесён в Список II Акта о контролируемых веществах (вещества, имеющие высокий потенциал злоупотребления и способные привести к тяжёлой психологической или физической зависимости)[50].
Правовой статус прекурсоров амфетамина
Фенилацетон включён в Список прекурсоров и химических веществ, часто используемых при незаконном изготовлении наркотических средств и психотропных веществ, находящихся под международным контролем в соответствии с Конвенцией ООН о борьбе против незаконного оборота наркотических средств и психотропных веществ 1988 года («красный список»)[51].
Фенил-2-нитропропен постановлением правительства Российской Федерации от 22 февраля 2019 года № 182 внесён в список I прекурсоров (до этого был внесен в список прекурсоров, оборот которых ограничен, Список IV).
В России фенилацетон внесён в список наркотических средств, психотропных веществ и их прекурсоров, оборот которых запрещен (Список I). Бензальдегид и аллилбензол внесены в список прекурсоров, оборот которых ограничен (Список IV)[49].
Примечания
- ↑ 1 2 Flomenbaum, Goldfrank et al. Goldfrank's Toxicologic Emergencies. 8th Edition. — McGraw Hill, 2006. — С. 1119. — 2170 с. — ISBN 0071437630.
- ↑ 1 2 3 4 Nicolas Rasmussen. America’s First Amphetamine Epidemic 1929–1971 // Am J Public Health. — 2008. — Т. 98, № 6. — С. 974—985. Архивировано 13 декабря 2014 года.
- ↑ 1 2 EMCDDA. Amphetamine: a European Union perspective in the global context. — Lisbon: EMCDDA, 2011. — С. 9—10. — 50 с. — ISBN 978-92-9168-491-5. — [Архивировано 27 января 2013 года.]
- ↑ 1 2 3 4 5 EMCDDA. Amphetamine (англ.). Дата обращения: 13 апреля 2013. Архивировано 27 февраля 2020 года.
- ↑ 1 2 The Forensic Science Service. FSS Report On Methylamphetamine Chemistry, Seizure Statistics, Analysis, Synthetic Routes And History Of Illicit Manufacture In The UK And The USA For The ACMD Working Group On Methylamphetamine (англ.) (2004). Дата обращения: 20 апреля 2013. Архивировано 30 июля 2013 года.
- ↑ 1 2 3 4 5 6 7 UNODC. Recommended methods for the identification and analysis of amphetamine, methamphetamine and their ring-substituted analogues in seized materials. — United Nations, 2006. — С. 10—12. — 88 с. — ISBN 92-1-148208-9. — [Архивировано 16 октября 2013 года.]
- ↑ 1 2 UNODC. Recommended methods for the identification and analysis of amphetamine, methamphetamine and their ring-substituted analogues in seized materials. — United Nations, 2006. — С. 7,8, 22. — 88 с. — ISBN 92-1-148208-9. — [Архивировано 16 октября 2013 года.]
- ↑ Thomas L. Lemke, David A. Williams et al. Foye's Principles of Medicinal Chemistry, 6th Edition. — Wolters Kluwer Health, Lippincott Willams & Wilkins, 2008. — С. 642—643. — 1377 с. — ISBN 978-0781768795.
- ↑ 1 2 3 4 5 6 7 8 9 Hamid Ghodse. Drugs and Addictive Behaviour. A Guide to Treatment. 3rd Edition. — Cambridge University Press, 2002. — С. 113—117. — 501 с. — ISBN 0511058446.
- ↑ 1 2 3 4 5 6 7 Flomenbaum, Goldfrank et al. Goldfrank's Toxicologic Emergencies. 8th Edition. — McGraw Hill, 2006. — С. 1121—1125. — 2170 с. — ISBN 0071437630.
- ↑ 1 2 Bertram G. Katzung. Basic & clinical pharmacology. 12th edition. — McGraw-Hill Medical, 2010. — С. 576—577. — 1200 с. — ISBN 9780071764018.
- ↑ 1 2 WHO. Amphetamines // Neuroscience of Psychoactive Substance Use and Dependence. — World Health Organization, 2004. — С. 93—96. — 250 с. — ISBN 9241562358. — [Архивировано 26 июня 2013 года.]
- ↑ Bertram G. Katzung. Basic & clinical pharmacology. 12th edition. — McGraw-Hill Medical, 2010. — С. 565—571. — 1200 с. — ISBN 9780071764018.
- ↑ Steven J Shoptaw, Uyen Kao, Keith Heinzerling, Walter Ling. Treatment for amphetamine withdrawal // The Cochrane Database of Systematic Reviews. — 2009-04-15. — Т. 2009, вып. 2. — ISSN 1469-493X. — doi:10.1002/14651858.CD003021.pub2. Архивировано 8 марта 2021 года.
- ↑ Involvement of the endogenous opioid system in the beneficial influence of physical exercise on amphetamine-induced addiction parameters. Pharmacology Biochemistry and Behavior, 173000 (англ.). Дата обращения: 3 января 2021.
- ↑ Hecson J. Segat, Vinícia G. Metz, Higor Z. Rosa, Verônica T. Dias, Raquel C. S. Barcelos. Substitution therapy with amphetamine-isotherapic attenuates amphetamine toxicological aspects of addiction // Neuroscience Letters. — 01 18, 2019. — Т. 690. — С. 138–144. — ISSN 1872-7972. — doi:10.1016/j.neulet.2018.10.007.
- ↑ Vinícia Garzella Metz, Hecson Jesser Segat, Verônica Tironi Dias, Raquel Cristine Silva Barcelos, Luana Haselein Maurer. Omega-3 decreases D1 and D2 receptors expression in the prefrontal cortex and prevents amphetamine-induced conditioned place preference in rats (англ.) // The Journal of Nutritional Biochemistry. — 2019-05-01. — Vol. 67. — P. 182–189. — ISSN 0955-2863. — doi:10.1016/j.jnutbio.2019.02.007.
- ↑ 1 2 Н. Н. Иванец, Ю. Г. Тюльпин, В. В. Чирко, М. А. Кинкулькина. Психиатрия и наркология: учебник. — М.: «ГЭОТАР-Медиа», 2006. — С. 734. — 832 с. — ISBN 5-9704-0197-8.
- ↑ Amphetamine is usually consumed via inhalation or orally, either in the form of a racemic mixture (levoamphetamine and dextroamphetamine) or dextroamphetamine alone (Childress et al. 2019). In general, all amphetamines have high bioavailability when consumed orally, and in the specific case of amphetamine, 90% of the consumed dose is absorbed in the gastrointestinal tract, with no significant differences in the rate and extent of absorption between the two enantiomers (Carvalho et al. 2012; Childress et al. 2019). The onset of action occurs approximately 30 to 45 minutes after consumption, depending on the ingested dose and on the degree of purity or on the concomitant consumption of certain foods (European Monitoring Centre for Drugs and Drug Addiction 2021a; Steingard et al. 2019). It is described that those substances that promote acidification of the gastrointestinal tract cause a decrease in amphetamine absorption, while gastrointestinal alkalinization may be related to an increase in the compound's absorption (Markowitz and Patrick 2017). // Handbook of Substance Misuse and Addictions / Vinood B. Patel, Victor R. Preedy. — Cham: Springer International Publishing, 2022. — ISBN 978-3-030-92391-4, 978-3-030-92392-1.
- ↑ 1 2 Веселовская Н. В., Коваленко А. Е. Наркотики. Свойства, действие, фармакокинетика, метаболизм. — М.: Триада-Х, 2000. — С. 53, 59—66. — 205 с. — ISBN 9785944970299.
- ↑ Steven B. Karch, Olaf Drummer. Karch's Pathology of Drug Abuse, Fourth Edition. — CRC Press, 2008. — С. 262—263. — 736 с. — ISBN 978-0849378805.
- ↑ Drugbank. Amphetamine (англ.). Дата обращения: 13 апреля 2013. Архивировано 12 октября 2013 года.
- ↑ 1 2 Thomas L. Lemke, David A. Williams et al. Foye's Principles of Medicinal Chemistry, 6th Edition. — Wolters Kluwer Health, Lippincott Willams & Wilkins, 2008. — С. 644. — 1377 с. — ISBN 978-0781768795.
- ↑ 1 2 3 Steven B. Karch, MD, FFFLM. Drug Abuse Handbook, Second Edition. — CRC Press, 2006. — С. 170. — 1288 с. — ISBN 978-0849316906.
- ↑ 1 2 3 4 Douglas S. Johnson, Jie Jack Li. The Art of Drug Synthesis. — John Wiley & Sons, 2007. — С. 244—247. — 350 с. — ISBN 978-0471752158.
- ↑ Ruben Vardanyan, Victor Hruby. Synthesis of Essential Drugs. — Elsevier, 2006. — С. 119—120. — 634 с. — ISBN 978-0444521668.
- ↑ 1 2 Edward T. Bope, Rick D. Kellerman et al. Conn's Current Therapy 2013. — Elsevier Saunders, 2013. — С. 1050—1053. — 1344 с. — ISBN 978-1455702954.
- ↑ 1 2 3 Adderall XR Prescribing Information (англ.) (pdf). Food and Drug Administration. Дата обращения: 28 февраля 2017. Архивировано 30 декабря 2013 года.
- ↑ Basant Puri, Ian Treasaden. Psychiatry: an Evidence-Based Text. — Edward Arnold, 2010. — С. 1059—1060. — 1323 с. — ISBN 978-1455702954.
- ↑ Edward T. Bope, Rick D. Kellerman et al. Conn's Current Therapy 2013. — Elsevier Saunders, 2013. — С. 938. — 1344 с. — ISBN 978-1455702954.
- ↑ Edward T. Bope, Rick D. Kellerman et al. Conn's Current Therapy 2013. — Elsevier Saunders, 2013. — С. 662—663. — 1344 с. — ISBN 978-1455702954.
- ↑ 1 2 3 BMA, Royal Pharmaceutical Sociery. British National Formulary 61, March 2011. — BMJ Group, Pharmaceutical Press, 2011. — С. 246. — 1036 с. — ISBN 978-0853699620.
- ↑ BMA, Royal Pharmaceutical Sociery. British National Formulary 61, March 2011. — BMJ Group, Pharmaceutical Press, 2011. — С. 881. — 1036 с. — ISBN 978-0853699620.
- ↑ 1 2 EMCDDA. Amphetamine: a European Union perspective in the global context. — Lisbon: EMCDDA, 2011. — С. 19—21. — 50 с. — ISBN 978-92-9168-491-5. — [Архивировано 27 января 2013 года.]
- ↑ EMCDDA, 2021, p. 1.
- ↑ Веселовская Н. В., Коваленко А. Е. Наркотики. Свойства, действие, фармакокинетика, метаболизм. — М.: Триада-Х, 2000. — С. 51. — 205 с. — ISBN 9785944970299.
- ↑ Mette Findal Andreasen, Christian Lindholst and Elisabet Kaa. Adulterants and Diluents in Heroin, Amphetamine, and Cocaine Found on the Illicit Drug Market in Aarhus, Denmark // The Open Forensic Science Journal. — 2009. — № 2. — С. 16—20. Архивировано 15 мая 2012 года.
- ↑ Веселовская Н. В., Коваленко А. Е. Наркотики. Свойства, действие, фармакокинетика, метаболизм. — М.: Триада-Х, 2000. — С. 52—53. — 205 с. — ISBN 9785944970299.
- ↑ International Narcotics Control Board. Psychotropic substances 2015. — United Nations, 2015. — С. 36—38. — 348 с. — ISBN 978-92-1-057748-9. — [Архивировано 23 августа 2016 года.]
- ↑ UNODC. World Drug Report 2010. — United Nations, 2010. — С. 103—105. — 313 с. — ISBN 978-92-1-148256-0. — [Архивировано 2 июля 2021 года.]
- ↑ UNODC. World Drug Report 2011. — United Nations, 2011. — С. 154. — 272 с. — ISBN 978-92-1-148262-1. — [Архивировано 27 мая 2013 года.]
- ↑ UNODC. World Drug Report 2011. — United Nations, 2011. — С. 127, 225. — 272 с. — ISBN 978-92-1-148262-1. — [Архивировано 27 мая 2013 года.]
- ↑ UNODC. Amphetamine-type stimulants (англ.) (2012). Дата обращения: 20 апреля 2013. Архивировано 27 мая 2013 года.
- ↑ Команда «Проекта». Вся эта дурь. Исследование о том, на чем сидит Россия. Проект (25 июля 2019). Дата обращения: 28 июля 2022. Архивировано 5 июля 2022 года.
- ↑ Спорная между Россией и Украиной территория, на момент исследования де-факто в составе России.
- ↑ Конвенция о психотропных веществах 1971 года. INCB (1971). Дата обращения: 20 апреля 2013. Архивировано 12 мая 2013 года.
- ↑ Список психотропных веществ, находящихся под международным контролем. INCB (2010). Дата обращения: 20 апреля 2013. Архивировано из оригинала 28 апреля 2013 года.
- ↑ Правительство РФ. Постановление Правительства РФ от 30 июня 2010 г. N 486 "О внесении изменений в некоторые акты Правительства Российской Федерации по вопросам, связанным с оборотом наркотических средств, психотропных веществ и их прекурсоров" (12 июля 2010). Дата обращения: 19 апреля 2013. Архивировано 14 августа 2013 года.
- ↑ 1 2 Правительство РФ. Постановление Правительства РФ от 30 июня 1998 г. N 681 "Об утверждении перечня наркотических средств, психотропных веществ и их прекурсоров, подлежащих контролю в Российской Федерации" (с изменениями и дополнениями). Дата обращения: 19 апреля 2013. Архивировано 19 апреля 2013 года.
- ↑ Controlled Substance Schedules (англ.). DEA. Дата обращения: 20 апреля 2013. Архивировано из оригинала 16 мая 2013 года.
- ↑ Список прекурсоров и химических веществ, часто используемых при незаконном изготовлении наркотических средств и психотропных веществ, находящихся под международным контролем (pdf). INCB. Дата обращения: 26 апреля 2013. Архивировано из оригинала 28 апреля 2013 года.
Литература
- EMCDDA. Wastewater analysis and drugs — a European multi-city study (Perspectives on drugs) (англ.). — Лиссабон: The European Monitoring Centre for Drugs and Drug Addiction (EMCDDA), 2021. — [Архивировано 21 февраля 2022 года.]


