Звезда


Звезда́ — массивное самосветящееся небесное тело, состоящее из газа и плазмы, в котором происходят, происходили или будут происходить термоядерные реакции. Ближайшей к Земле звездой является Солнце, другие звёзды на ночном небе выглядят как точки различной яркости, сохраняющие своё взаимное расположение. Звёзды различаются структурой и химическим составом, а такие параметры, как радиус, масса и светимость, у разных звёзд могут отличаться на порядки.
Самая распространённая схема классификации звёзд — по спектральным классам — основывается на их температуре и светимости. Кроме того, среди звёзд выделяют переменные звёзды, которые меняют свой видимый блеск по различным причинам, с собственной системой классификации. Звёзды часто образуют гравитационно-связанные системы: двойные или кратные системы, звёздные скопления и галактики. Со временем звёзды меняют свои характеристики, так как в их недрах проходит термоядерный синтез, в результате которого меняется химический состав и масса — это явление называется эволюцией звёзд, и в зависимости от начальной массы звезды она может проходить совершенно по-разному.
Вид звёздного неба привлекал людей с древности, с видом созвездий или отдельных светил на нём были связаны мифы и легенды разных народов, до сих пор он находит отражение в культуре. Ещё со времён первых цивилизаций астрономы составляли каталоги звёздного неба, а в XXI веке существует множество современных каталогов, содержащих различную информацию для сотен миллионов звёзд.
Определение и характеристики
Общепринятого определения звезды не существует. В большинстве определений звёздами считаются массивные самосветящиеся объекты, состоящие из газа или плазмы[1], в которых хотя бы на какой-то стадии эволюции (см. ниже) в их ядрах идёт термоядерный синтез, мощность которого сопоставима с их собственной светимостью[2][3].
Наблюдательные характеристики

Практически все звёзды наблюдаются с Земли как точечные объекты даже при использовании телескопов с большим увеличением — исключение составляет лишь малая часть звёзд, угловые размеры которых превышают разрешающую способность самых крупных инструментов, а также Солнце[4]. Всего на небе около 6000 звёзд, которые можно видеть невооружённым глазом в хороших условиях, а одновременно наблюдать можно до 3000 звёзд, расположенных над горизонтом. Взаимное положение звёзд (кроме Солнца), в отличие от Луны и других объектов Солнечной системы, меняется очень медленно: самое большое собственное движение звезды, которое зафиксировано у звезды Барнарда, составляет около 10′′ в год, а для большинства звёзд не превышает 0,05′′ в год[5]. Чтобы перемещение звёзд можно было заметить без точных измерений, нужно сравнивать вид звёздного неба с интервалом в тысячи лет. В связи с этим звёзды с древности объединяли в созвездия, а в начале XX века Международный астрономический союз утвердил деление неба на 88 созвездий и границы каждого из них[6][7][8].
Видимая звёздная величина — мера освещённости, создаваемой звёздами. Эта величина линейно связана с логарифмом освещённости, причём чем больше освещённость, тем меньше звёздная величина. Так, например, видимая звёздная величина Солнца составляет −26,72m, а ярчайшей звездой ночного неба является Сириус с видимой звёздной величиной −1,46m. Тем не менее существует множество звёзд с гораздо большей светимостью, чем у Сириуса, но земным наблюдателям они кажутся более тусклыми из-за большой удалённости[9][10].
Расстояния до звёзд измеряются различными методами. Расстояния до самых близких звёзд измеряют методом годичных параллаксов. Например, ближайшая к Земле звезда после Солнца — Проксима Центавра, её параллакс составляет примерно 0,76′′, следовательно она удалена на расстояние 4,2 светового года. Однако её звёздная величина составляет +11,09m, и она не видна невооружённым глазом[11]. Для измерения расстояния до более далёких звёзд используются другие методы, например, фотометрический метод: если известно, какая у звезды абсолютная светимость, то, сравнивая её с освещённостью, можно определить расстояние до звезды. Совокупность методов определения расстояний, в том числе до звёзд, образует шкалу расстояний в астрономии[12].
Спектры излучения звёзд различаются, но чаще всего они представляют собой непрерывные спектры с линиями поглощения. В некоторых случаях на фоне непрерывного спектра наблюдаются эмиссионные линии[13]. Для описания звёздных спектров часто используется понятие абсолютно чёрного тела, излучающего электромагнитные волны по закону Планка, хотя далеко не у всех звёзд спектры похожи на планковский. Температура абсолютно чёрного тела того же радиуса и светимости, что и звезда, называется эффективной температурой звезды, и, как правило, под температурой поверхности звезды подразумевается именно она. Обычно эффективные температуры звёзд лежат в диапазоне от 2—3 до 50 тысяч кельвинов[6][14][15].
Физические характеристики
Параметры звёзд варьируются в очень широком диапазоне. Часто их характеристики выражаются в солнечных величинах: например, масса Солнца (M⊙) — 1,99⋅1030 кг, радиус Солнца (R⊙) — 6,96⋅108 м, а солнечная светимость (L⊙) — 3,85⋅1026 Вт[6]. Иногда в качестве меры светимости используют абсолютную звёздную величину: она равна видимой звёздной величине звезды, которую бы та имела, находясь на расстоянии 10 парсек от наблюдателя[16].
Обычно массы звёзд варьируются от 0,075 до 120 M⊙, хотя иногда встречаются светила и большей массы — звезда с максимальной известной массой, R136a1, в 265 раз массивнее Солнца, а при формировании её масса составляла 320 M⊙[1]. С высокой точностью измерить массу звезды можно только в том случае, если она принадлежит визуально-двойной системе (см. ниже), расстояние до которой известно, — тогда масса определяется на основании закона всемирного тяготения[17]. Радиусы звёзд обычно располагаются в диапазоне от 10−2 до 103 R⊙, но из-за того, что они находятся слишком далеко от Земли, их угловые размеры определить непросто: для этого может использоваться, например, интерферометрия[4]. Наконец, абсолютные светимости звёзд могут составлять от 10−4 до 106 L⊙[1][6][18]. Наибольшие светимости и радиусы имеют сверхгиганты[19]: например, звёзды UY Щита и Stephenson 2-18 имеют одни из самых больших известных радиусов, которые составляют около 2⋅103 R⊙[20][21][22], а наибольшую светимость имеет R136a1, также самая массивная из известных звёзд[23].
Химический состав звёзд также различается. В основном они состоят из водорода и гелия, причём в молодых звёздах водород составляет 72—75 % массы, а гелий — 24—25 %, и с возрастом доля гелия возрастает[6].
У всех звёзд имеется магнитное поле. Например, у Солнца оно непостоянно, имеет сложную структуру, и его напряжённость в пятнах может достигать 4000 эрстед. У магнитных звёзд наблюдаются поля напряжённостью до 3,4⋅104 эрстед и вызванный ими эффект Зеемана[24].
Строение звёзд
Из наблюдений известно, что звёзды, как правило, стационарны, то есть они находятся в гидростатическом и в термодинамическом равновесии. Это верно и для переменных звёзд (см. ниже), так как чаще всего их переменность представляет собой колебания параметров относительно точки равновесия. Кроме того, для переноса излучения должен выполняться закон сохранения энергии, так как энергия вырабатывается в центральной части звезды и переносится на её поверхность[1][25][26].
В большинстве звёзд вещество подчиняется уравнению состояния идеального газа, а значения таких параметров, как температура, плотность и давление вещества, увеличиваются при приближении к центру звезды: например, в центре Солнца температура достигает 15,5 млн кельвинов, плотность — 156 г/см3, а давление — 2⋅1016 Па[1][27].
Внутренняя структура

Во внутренних областях звезды происходят выделение энергии и перенос её к поверхности. Энергия в звёздах, за исключением протозвёзд и коричневых карликов, вырабатывается при термоядерном синтезе (см. ниже), который происходит либо в ядре звезды, где температура и давление максимальны, либо в слоевом источнике вокруг инертного ядра. Такая ситуация встречается, например, в субгигантах, ядра которых состоят из гелия, а условия для его горения пока что не достигнуты. У Солнца граница ядра располагается на расстоянии 0,3 R⊙ от его центра[28].
В звёздах имеются два основных механизма переноса энергии: лучистый перенос, который происходит, когда вещество достаточно прозрачно для быстрого переноса энергии фотонами, и конвекция, происходящая тогда, когда вещество оказывается слишком непрозрачным для лучистого переноса, из-за чего возникает достаточно большой температурный градиент, и вещество начинает перемешиваться. Области звезды, в которых энергия переносится тем или иным образом, называются, соответственно, зоной лучистого переноса и конвективной зоной[29].
В различных звёздах зона лучистого переноса и конвективная зона располагаются по-разному. Например, в звёздах главной последовательности массой более 1,5 M⊙ ядро окружено конвективной зоной, а зона лучистого переноса располагается снаружи. В диапазоне масс от 1,15 до 1,5 M⊙ у звёзд имеются две конвективные зоны в центре и на границе, которые разделены зоной лучистого переноса. В звёздах с меньшей массой снаружи находится конвективная зона, а внутри — зона лучистого переноса, — к таким звёздам относится и Солнце, граница этих областей располагается на расстоянии 0,7 R⊙ от его центра[30]. Самые маломассивные звёзды полностью конвективны[31][32].
Атмосферы звёзд

Звёздная атмосфера — область, в которой формируется непосредственно наблюдаемое излучение[33].
- Фотосфера — самая нижняя, непрозрачная часть атмосферы. В ней формируется непрерывный спектр излучения, а сама она при наблюдениях в оптическом диапазоне выглядит как поверхность звезды. С ней же связано явление потемнения к краю, из-за которого края звезды оказываются тусклее центральных областей: например, у Солнца в видимом диапазоне края тусклее центра на 40 %[34]. Температура фотосферы Солнца составляет 6500 K, а плотность — 5⋅10−4 кг/м3[33][35].
- Обращающий слой находится над фотосферой и по сравнению с ней имеет более низкую температуру и плотность. В нём образуются линии поглощения в спектре. У Солнца температура этого слоя составляет около 4500 K, а плотность — 10−7 кг/м3[33].
- Хромосфера — слой звёздной атмосферы с более высокой температурой, чем у фотосферы, который создаёт эмиссионные линии в спектре. Температура хромосферы Солнца составляет 10 000 K, но её яркость в 100 раз меньше, чем у фотосферы. Этот слой отсутствует у горячих звёзд[33][36].
- Корона — внешний слой звёздной атмосферы с очень высокой температурой, но очень низкой плотностью и яркостью. В этой области происходит излучение преимущественно в рентгеновском диапазоне, и мощность в этом слое не превышает 10−3 общей светимости звезды; для Солнца она составляет 10−6 L⊙. Из-за низкой светимости в оптическом диапазоне корона наблюдалась только у Солнца и только во время полных солнечных затмений. Температура солнечной короны составляет 1,5 млн кельвинов, но у некоторых звёзд может достигать 10 млн K[33][37].
У многих звёзд наблюдается звёздный ветер — стационарное истечение вещества из атмосферы в космос. Наиболее мощный звёздный ветер наблюдается у массивных звёзд; у маломассивных звёзд он уносит небольшую часть массы, но со временем значительно замедляет их вращение вокруг оси. Наличие звёздного ветра означает, что атмосфера звезды неустойчива[38].
Классификация
Первую успешную попытку классифицировать звёзды предпринял в 1863 году итальянский астроном и священник Анджело Секки. Он заметил сильную корреляцию между видимыми цветами звёзд и линиями поглощения в их спектрах и на основании этого разделил звёзды на четыре спектральных класса, к которым позже добавился пятый. В дальнейшем, при составлении каталога Генри Дрейпера, астрономы Гарвардской обсерватории выделили большое количество спектров, названных латинскими буквами в порядке ослабевания в них линий водорода. Эта система с изменениями легла в основу системы классификации звёзд, используемой и поныне[39][40][41].
Естественно было бы классифицировать звёзды по виду идущих в них термоядерных реакций и их положению, что, в свою очередь, зависит от их эволюционной стадии (см. ниже). Однако без наличия соответствующей теории невозможно определить, какие реакции идут в звезде, если известны только её внешние характеристики, например, цвет и светимость, поэтому общепринятой стала именно спектральная классификация[42].
Йеркская система классификации

Система классификации звёзд, используемая до сих пор, была разработана на рубеже XIX—XX веков в Гарвардской обсерватории и получила название гарвардской системы. Принадлежность звезды к тому или иному спектральному классу определяется видом её спектра: положением максимума излучения и интенсивностью тех или иных линий поглощения[41].
Когда была построена диаграмма «спектральный класс — светимость», известная как диаграмма Герцшпрунга — Рассела, выяснилось, что звёзды расположены на ней неоднородно и сгруппированы в нескольких областях, каждой из которых был поставлен в соответствие класс светимости. Система, использующая спектральный класс и класс светимости, стала называться йеркской системой или системой Моргана — Кинана по фамилиям разработавших её астрономов[43].
Спектральные классы
Основные спектральные классы звёзд в порядке уменьшения температуры — O, B, A, F, G, K, M. Изначально классы назывались в алфавитном порядке по ослабеванию в них линий водорода, но затем некоторые классы были объединены, а также была обнаружена их связь с температурой, поэтому в порядке убывания температуры последовательность стала выглядеть именно так[41]. Каждый из классов делится на 10 подклассов от 0 до 9 в порядке уменьшения температуры, кроме O: первоначально он делился на подклассы от O5 до O9, но затем были введены подклассы вплоть до O2[44]. Иногда используются полуцелые подклассы, как, например, B0,5. Более высокотемпературные классы и подклассы называются ранними, низкотемпературные — поздними[45][46]. Звёзды распределены по классам крайне неравномерно: к классу M принадлежит примерно 73 % звёзд Млечного Пути, к классу K ещё около 15 %, в то время как звёзд класса O — 0,00002 %[47].
Кроме основных спектральных классов, существуют и дополнительные. Классы C (иногда делится на R и N) и S — низкотемпературные углеродные и циркониевые звёзды соответственно[46][16]. Классы L, T, Y — классы коричневых карликов в порядке понижения температуры, идущие после класса M[40].
| Класс | Температура (K)[48][49][50] | Цвет | Особенности спектра |
|---|---|---|---|
| O | > 30 000 | Голубой | Присутствуют линии многократно ионизованных атомов, к примеру, He II[51], C III, N III, O III, Si V. Есть линии He I, линии H I слабы. |
| B | 10 000—30 000 | Бело-голубой | Интенсивность линий He I максимальна, появляются линии Ca II, видны линии O II, Si II, Mg II. Линии He II отсутствуют. |
| A | 7400—10 000 | Белый | Интенсивность линий H I максимальна, линии Ca II усиливаются, появляются линии нейтральных металлов. Линии He I пропадают. |
| F | 6000—7400 | Жёлто-белый | Линии Ca II и других металлов, к примеру, Fe I, Fe II, Cr II, Ti II, усиливаются, линии H I слабеют. |
| G | 5000—6000 | Жёлтый | Максимальная интенсивность линий Ca II, линии H I слабеют. |
| K | 3800—5000 | Оранжевый | В основном наблюдаются линии металлов, в частности Ca I. Появляются полосы поглощения TiO, линии H I незначительны. |
| M | 2500—3800 | Красный | Присутствует множество линий металлов и молекулярных соединений, в особенности TiO. |
| C | 2500—3800 | Красный | Спектры похожи на таковые у звёзд классов K и M, однако вместо полос TiO наблюдаются сильные полосы поглощения соединениями углерода. |
| S | 2500—3800 | Красный | Спектры похожи на спектры звёзд класса M, но вместо полос TiO присутствуют полосы ZrO и другие молекулярные полосы поглощения. |
| L | 1300—2500 | Тёмно-красный | Выражены линии щелочных металлов, особенно Na I и K I, полосы TiO пропадают. |
| T | 600—1300 | Тёмно-красный | Присутствуют полосы CH4 и H2O. |
| Y | < 600 | Тёмно-красный | Появляются линии NH3. |
Иногда также используются классы W для звёзд Вольфа — Райе, P — для планетарных туманностей и Q — для новых звёзд[52].
Классы светимости
Звёзды одного и того же спектрального класса имеют похожие спектры и температуры, но могут иметь различные размеры и, как следствие, светимости. Поэтому для полноты классификации вводятся классы светимости, каждый из которых занимает свою область диаграммы Герцшпрунга — Рассела. Классы светимости, от более ярких к более тусклым[40][53]:
- I — сверхгиганты;
- Ia — яркие сверхгиганты;
- Iab — сверхгиганты;
- Ib — сверхгиганты низкой светимости;
- II — яркие гиганты;
- III — гиганты;
- IV — субгиганты;
- V — звёзды главной последовательности, иногда «карлики»;
- VI — субкарлики;
- VII — белые карлики.
Абсолютное большинство звёзд, 90 %, относятся к главной последовательности[54]. Солнце — жёлтая звезда главной последовательности (или просто жёлтый карлик), соответственно, его спектральный класс — G2V[40].
Спектры звёзд одного спектрального класса, но разных классов светимости, также различаются. Так, например, в более ярких звёздах спектральных классов B—F линии водорода более узкие и глубокие, чем в звёздах меньшей светимости. Кроме того, в звёздах-гигантах более сильны линии ионизованных элементов, а сами эти звёзды краснее, чем звёзды главной последовательности тех же спектральных классов[55].
Дополнительные обозначения
Если спектр звезды обладает какими-то особенностями, выделяющими его среди других спектров, к спектральному классу добавляется дополнительная буква. Например, буква e означает, что в спектре есть эмиссионные линии; m означает, что в спектре сильны линии металлов. Буквы n и s означают, что линии поглощения, соответственно, широкие или узкие. Обозначение neb используется, если вид спектра указывает на наличие туманности вокруг звезды, p — для пекулярных спектров[56][57].
Переменные звёзды

Переменными называются те звёзды, блеск которых изменяется достаточно для того, чтобы это было обнаружено с современным уровнем техники. Если переменность вызвана физическими изменениями в звезде, то она называется физической, а если освещённость, создаваемая звездой, меняется только из-за её вращения или покрытия другими объектами — геометрической. Физическая и геометрическая переменность могут сочетаться. Звёздная величина при этом может меняться как периодически, так и неправильным образом[58][59][60]. При этом переменность не является постоянной характеристикой звезды, а возникает и исчезает на различных этапах её эволюции (см. ниже) и может принимать различный характер для одной и той же звезды[61].
На данный момент известны сотни тысяч переменных звёзд, в том числе и в других галактиках. Некоторые типы переменных звёзд, к примеру, цефеиды или сверхновые, в астрономии используются как стандартные свечи и позволяют измерять расстояния в космосе[58][62].
Классификация переменных звёзд сложна и учитывает форму кривой блеска звезды, амплитуду и периодичность его изменений и физические процессы, которые вызывают переменность. В Общем каталоге переменных звёзд, предназначенном для классификации и каталогизации переменных, выделяются сотни классов переменных звёзд, однако некоторые звёзды всё равно не относятся ни к одному из них[58][63]. Существует специальная система именования переменных звёзд (см. ниже), а сами классы переменных, как правило, называются по названию звезды, ставшей прототипом этого класса, — к примеру, прототипом переменных типа RR Лиры является звезда RR Лиры[60][64].
Можно выделить следующие основные типы переменных звёзд[60]:
- пульсирующие переменные — звёзды, переменность которых периодична и вызвана изменениями радиуса и температуры. Примером звёзд такого типа могут служить цефеиды[65];
- эруптивные переменные — звёзды, переменность которых вызвана активностью в хромосфере или короне, а также звёздным ветром или выбросами вещества. Пример звёзд этого типа — звёзды типа T Тельца[66];
- катаклизмические переменные — звёзды, изменения блеска которых резки, внезапны и сопровождаются взрывными процессами. К этому типу принадлежат новые и сверхновые звёзды[67];
- затменные переменные — двойные звёзды (см. ниже), в которых происходят периодические покрытия звёздами друг друга, в результате чего видимый блеск системы периодически понижается. Примером могут быть затменные переменные типа Алголя[68];
- вращающиеся переменные — звёзды, переменность которых проявляется при их вращении вокруг своей оси, на что могут влиять эллипсоидальная форма, сильное магнитное поле или звёздные пятна. Пример — переменные типа BY Дракона[69].
Звёздные системы
Двойные и кратные звёзды

Двойная звезда — система из двух звёзд, которые вращаются вокруг общего центра масс. Если в гравитационно-связанную систему входит несколько звёзд, то такая система называется кратной звездой, причём кратные звёзды, как правило, имеют иерархическую структуру: к примеру, тройные системы могут состоять из двойной звезды и достаточно удалённой от неё одиночной. К двойным и кратным системам принадлежит более половины всех звёзд, а периоды обращения в них могут составлять от нескольких минут до нескольких миллионов лет. Двойные звёзды служат наиболее надёжным источником информации о массах и некоторых других параметрах звёзд[70][71].
Обычно двойные звёзды классифицируют на основании того, каким методом была обнаружена их двойственность[70][71][72]:
- визуально-двойные звёзды — пары звёзд, компоненты которых можно различить непосредственно при наблюдениях;
- спектрально-двойные звёзды — пары звёзд, двойственность которых обнаруживается при исследованиях спектра: их движение по орбите вызывает эффект Доплера, который меняет положение спектральных линий одного или обоих компонентов;
- затменно-двойные звёзды — пары звёзд, компоненты которых периодически затмевают друг друга частично или полностью, из-за чего меняется видимая звёздная величина и наблюдается переменность. Иногда используется более широкое понятие «фотометрические двойные», которое также включает в себя случаи, когда покрытий не происходит, но одна или обе звезды под действием приливных сил друг друга вытягиваются и при вращении поворачиваются разными сторонами, в результате чего также наблюдается переменность;
- астрометрические двойные звёзды — пары звёзд, в которых наблюдается только один, более яркий объект, при этом его траектория движения не прямолинейна, что указывает на наличие тусклого массивного спутника, к примеру, белого карлика.
Также выделяют тесные двойные системы — пары звёзд, расстояние между которыми сопоставимо с их размерами. В таких системах могут наблюдаться различные явления, вызванные взаимодействием звёзд, например, перетекание вещества с одной звезды на другую, если одна или обе звезды заполняют свою полость Роша[70][72][73].
Иногда встречаются пары звёзд, близко расположенные в проекции на небесную сферу, но находящиеся друг от друга на большом расстоянии и не связанные гравитацией. Такие пары называются оптически-двойными звёздами[72].
Звёздные скопления


Звёздное скопление — группа звёзд, близко расположенных в пространстве и связанных происхождением из одного молекулярного облака. Общепринято деление звёздных скоплений на два типа — шаровые и рассеянные[74], однако иногда к звёздным скоплениям причисляют и звёздные ассоциации. Звёздные скопления ценны для астрономии тем, что звёзды в них находятся на одном расстоянии от Земли и образовались практически одновременно с почти одинаковым химическим составом. Таким образом, они различаются только начальной массой, что облегчает составление теории звёздной эволюции[75].
Шаровые звёздные скопления — плотные и массивные скопления, которые имеют шарообразную форму и повышенную концентрацию звёзд в центре скопления. Они содержат от 10 тысяч до нескольких миллионов звёзд, в среднем — около 200 тысяч, а их диаметры составляют 100—300 световых лет. Такие скопления имеют возраст порядка 10—15 млрд лет, поэтому относятся к населению II и образуют сферическую подсистему Галактики (см. ниже). Звёзды в шаровых скоплениях бедны металлами, так как образовались давно, и имеют небольшие массы, поскольку массивные звёзды уже завершили свою эволюцию (см. ниже)[76][75][77].
Рассеянные звёздные скопления менее плотны, чем шаровые, и содержат меньше звёзд — от нескольких десятков до нескольких тысяч, в среднем 200—300, диаметры таких скоплений составляют до 50 световых лет. В отличие от шаровых скоплений, рассеянные не так сильно связаны гравитацией и, как правило, распадаются в течение миллиарда лет после образования. Такие скопления относятся к населению I и концентрируются к галактическому диску, а в самих скоплениях встречается много массивных и ярких звёзд[78][75][77].
Звёздные ассоциации — ещё более разреженные группы звёзд общей массой менее 1000 M⊙ и диаметром до 700 световых лет[79]. Они очень слабо связаны гравитацией, поэтому распадаются в течение 10 млн лет после образования. Это означает, что они состоят из очень молодых звёзд[80][75][81].
Галактики
.jpg)
Галактики — системы звёзд и межзвёздного вещества, самые крупные из которых могут содержать сотни миллиардов звёзд и иметь радиусы до 30 килопарсек. Звёзды распределены в галактиках неравномерно: молодые, богатые металлами звёзды населения I образуют плоскую составляющую галактики, которая наблюдается как галактический диск, а старые и бедные металлами звёзды населения II образуют сферическую составляющую, которая сильно концентрируется к центру галактики[82][83][84].
Четыре основных типа галактик, выделенные ещё Эдвином Хабблом в 1925 году[85][86]:
- эллиптические галактики — галактики без выраженной внутренней структуры, имеющие форму шара или эллипсоида. Они практически не содержат газа и пыли и состоят в основном из старых звёзд. Плоская составляющая в них отсутствует;
- линзовидные галактики внешне похожи на эллиптические, но, хотя сферическая составляющая в них является основной, они также имеют звёздный диск;
- спиральные галактики имеют как сферическую, так и плоскую составляющие, при этом последняя выражена сильнее, чем в линзовидных, а в дисках спиральных галактик обнаруживается спиральная структура;
- неправильные галактики — галактики асимметричной формы, содержащие много газа и пыли. Сферическая составляющая в таких галактиках практически отсутствует, большинство звёзд — молодые и образуют плоскую подсистему.
Эволюция звёзд

Физические и наблюдаемые параметры звёзд непостоянны, так как из-за идущих в них термоядерных реакций меняется состав звезды, уменьшается масса и излучается энергия. Изменение характеристик звезды со временем называется эволюцией звезды, этот процесс проходит по-разному у звёзд различных начальных масс[87]. Часто в таких случаях говорят о «жизни звезды», которая начинается, когда единственным источником энергии звезды становятся ядерные реакции, и заканчивается, когда реакции прекращаются[88][89][90]. Срок жизни звезды, в зависимости от начальной массы, составляет от нескольких миллионов до десятков триллионов лет[91][92]. В течение жизни у звёзд может возникать и исчезать переменность[61], а на ход эволюции звезды может влиять её принадлежность к тесной двойной системе[93].
Звёздный нуклеосинтез
На разных стадиях эволюции звёзд в них проходят различные термоядерные реакции. Наиболее важные, энергетически эффективные и длительные из них — протон-протонный цикл и CNO-цикл, в которых из четырёх протонов образуется ядро гелия, — происходят в ядрах звёзд главной последовательности[94][95].
В достаточно массивных звёздах на более поздних этапах эволюции синтезируются более тяжёлые элементы: сначала углерод в тройном гелиевом процессе, а в самых тяжёлых звёздах и более тяжёлые элементы вплоть до железа — дальнейший нуклеосинтез не идёт, так как энергетически невыгоден[96][95]. Тем не менее элементы тяжелее железа могут образовываться при так называемом взрывном нуклеосинтезе, который происходит, когда звезда теряет гидростатическое равновесие, например, при взрывах сверхновых[97].
Начальная стадия эволюции звёзд

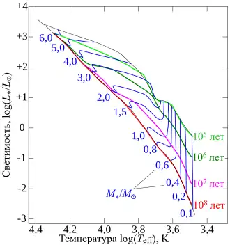
Звёзды образуются из холодных разреженных облаков межзвёздного газа, которые начинают сжиматься из-за возникшей гравитационной неустойчивости. Изначально могут начать сжиматься только облака большой массы, но в процессе они разделяются на более маленькие области сжатия, каждая из которых уже становится отдельной звездой. По этой причине звёзды всегда формируются группами: в составе звёздных ассоциаций или звёздных скоплений[98]. После того как в облаке формируется гидростатически равновесное ядро, оно начинает считаться протозвездой. Протозвезда светит за счёт сжатия сначала в дальнем инфракрасном диапазоне, затем разогревается и становится видима в оптическом диапазоне. Эта стадия может длиться от 105 лет для самых крупных звёзд до 109 лет для наименее массивных[99][100][101]. В это время также формируются протопланетные диски вокруг звезды, которые впоследствии могут эволюционировать в планетные системы[102]. После этого недра звезды, если её масса составляет более 0,075 M⊙, достаточно разогреваются, и в ней начинается синтез гелия из водорода: в это время звезда становится полноценной звездой главной последовательности. Если же масса оказывается меньше 0,075 M⊙, то протозвезда становится коричневым карликом, в котором некоторое время может идти термоядерный синтез, но основная доля энергии выделяется за счёт сжатия[1][3].
Главная последовательность
После того как в звезде начинается синтез гелия из водорода, она становится звездой главной последовательности и в этом состоянии проводит бо́льшую часть жизни — 90 % звёзд, в числе которых и Солнце, относятся к главной последовательности[54].
Характеристики звёзд главной последовательности зависят в первую очередь от массы и, в гораздо меньшей степени, от возраста и начального химического состава: чем больше масса звезды, тем больше её температура, радиус и светимость и тем меньше срок её жизни на главной последовательности. Так, например, звезда с массой 0,1 M⊙ будет иметь светимость в 0,0002 L⊙, температуру 3000 K и спектральный класс M6, а звезда с массой 18 M⊙ — светимость в 30 000 L⊙, температуру 33 000 K и спектральный класс O9,5[92]. У самых тяжёлых звёзд срок жизни на главной последовательности — порядка нескольких миллионов лет, а у самых маломассивных — порядка 10 триллионов лет, что превышает возраст Вселенной[54][103]. Звёзды населения II с низким содержанием тяжёлых элементов, которые также синтезируют гелий в ядре, в несколько раз тусклее звёзд главной последовательности того же спектрального класса и называются субкарликами[104].
Стадия главной последовательности заканчивается, когда в ядре звезды остаётся слишком мало водорода и его сгорание не может продолжаться в том же режиме. Разные звёзды после этого ведут себя по-разному[105].
Эволюция звёзд после главной последовательности

У большинства звёзд гелий накапливается в ядре, а водорода остаётся всё меньше. В результате водород начинает сгорать в слоевом источнике вокруг ядра, а сама звезда переходит сначала на стадию субгигантов, а затем на ветвь красных гигантов, охлаждаясь, но многократно увеличивая свои размеры и светимость[105].
Исключение составляют звёзды массами менее 0,2 M⊙: они полностью конвективны, и гелий в них распределяется по всему объёму. Согласно теоретическим моделям, они нагреваются и сжимаются, превращаясь в голубые карлики, а потом в гелиевые белые карлики (см. ниже )[103][106].
В звёздах большей массы в определённый момент начинается горение гелия. Если масса звезды составляет менее 2,3 M⊙, он загорается взрывообразно — происходит гелиевая вспышка, и звезда оказывается на горизонтальной ветви. При большей массе гелий загорается постепенно, и звезда проходит голубую петлю. Когда в ядре накапливаются углерод и кислород, а гелия остаётся мало, ядро начинает сжиматься, и звезда переходит на асимптотическую ветвь гигантов — процессы здесь похожи на происходящие у звёзд на ветви красных гигантов. Для звёзд с массой менее 8 M⊙ эта стадия оказывается последней: они сбрасывают оболочку и становятся белыми карликами, состоящими из углерода и кислорода[107][108].
В более массивных звёздах ядро начинает сжиматься, а звезда становится сверхгигантом. В ней начинаются термоядерные реакции с участием углерода — для звёзд с массой 8—10 M⊙ в результате углеродной детонации, а в более массивных звёздах постепенно. Вскоре могут начаться реакции и с более тяжёлыми элементами, вплоть до железа, и в звезде образуется множество слоёв, состоящих из разных элементов. После этого звезда может как сбросить оболочку, став белым карликом, состоящим из кислорода, неона или магния, так и взорваться как сверхновая, и тогда от неё останется нейтронная звезда или чёрная дыра[107][108].
Конечные стадии эволюции звёзд
Выделяется три типа объектов, в которые звезда может превратиться в конце жизни[109].
Белые карлики — объекты из вырожденного вещества с массой порядка солнечной, но в 100 раз меньшими радиусами. В белые карлики превращаются звёзды с начальными массами менее 8—10 M⊙, сбрасывая оболочку, что наблюдается как планетарная туманность. В белых карликах не вырабатывается энергия, а излучают они лишь за счёт высокой температуры внутри них: самые горячие из них имеют температуры около 70 000 K, но постепенно остывают и становятся чёрными карликами[107][109].
Нейтронные звёзды образуются, если масса вырожденного ядра звезды превышает предел Чандрасекара — 1,46 M⊙. В этом случае происходит коллапс ядра с нейтронизацией вещества, при котором происходит взрыв сверхновой. При массе нейтронной звезды, равной 2 M⊙, её радиус будет составлять порядка 10 км[107][109][110].
Чёрная дыра образуется, если масса ядра превысит предел Оппенгеймера — Волкова, равный 2—2,5 M⊙. Получившаяся нейтронная звезда оказывается неустойчивой, и коллапс будет продолжаться: дальнейшие устойчивые конфигурации неизвестны. В какой-то момент радиус ядра становится меньше радиуса Шварцшильда, при котором вторая космическая скорость становится равной скорости света, и появляется чёрная дыра звёздной массы[107][109].
Звёздные каталоги и номенклатура
Списки звёзд, содержащие какие-либо сведения о них, такие как небесные координаты, собственные движения, звёздные величины или спектральные классы, известны как звёздные каталоги. В некоторых каталогах содержится информация о звёздах определённого типа: например, только о двойных или переменных. Хранением, систематизацией и распространением данных о звёздных каталогах занимается Страсбургский центр астрономических данных. Среди современных звёздных каталогов можно выделить следующие[111][112][113]:
- Каталог Hipparcos, составленный по результатам работы одноимённого космического телескопа в 1989—1993 годах в оптическом диапазоне. Он содержит такую информацию о 118 218 звёздах, как годичные параллаксы с точностью до 0,001′′, собственные движения с точностью 0,001′′/год и звёздные величины, кроме того, этот каталог обеспечивает стандартную систему координат ICRS;
- Каталог Tycho-2 также был составлен на основе работы Hipparcos. Он обладает меньшей точностью, зато содержит сведения о более чем 2 миллионах звёзд;
- 2MASS (The Two Micron All Sky Survey) — каталог, содержащий координаты и звёздные величины в ближней инфракрасной области для 0,5 миллиарда звёзд, составленный Калифорнийским технологическим институтом.
- Каталог Gaia составлен по результатам работы космического телескопа с таким же названием. Каталог содержит, в частности, координаты и звёздные величины для более чем 1,8 миллиарда звёзд, а также параллакс и собственное движение для более чем 1,4 миллиарда. Телескоп продолжает работу, поэтому ожидается дополнение и уточнение каталога[114][115].
Номенклатура
С древности звёзды получали собственные названия (см. ниже), но с развитием астрономии появилась потребность в строгой номенклатуре. До 2016 года официальных собственных названий звёзд не было, но на 2020 год Международным астрономическим союзом утверждено 336 собственных названий[116][117].
Обозначения Байера, введённые в 1603 году Иоганном Байером, стали первыми, которые с некоторыми изменениями используются до сих пор. В его каталоге самые яркие звёзды каждого созвездия получили название в виде буквы греческого алфавита и названия созвездия. Обычно, хотя и не во всех случаях, самая яркая звезда созвездия получала букву α, вторая — β и так далее. В случае, если звёзд в созвездии было больше, чем букв в греческом алфавите, используются буквы латинского алфавита: сначала строчные от a до z, затем заглавные от A до Z. Например, ярчайшая звезда созвездия Льва — Регул — имеет обозначение α Льва[116].
Другая широко используемая система — обозначения Флемстида — появилась в 1783 году и основана на каталоге Джона Флемстида, опубликованном в 1725 году, уже после его смерти. В ней каждой звезде созвездия присваивается номер в порядке увеличения прямого восхождения. Пример такого названия — 61 Лебедя[116].
В любом случае звёзды также обозначаются по названию каталога, в котором они отмечены, и номеру в нём. Так, например, Бетельгейзе в различных каталогах имеет обозначения HR 2061, BD +7 1055, HD 39801, SAO 113271 и PPM 149643[116].
Для двойных или кратных звёзд, переменных, а также новых или сверхновых звёзд, используется иная система обозначений[116]:
- компоненты двойных и кратных звёзд, если у них нет раздельных обозначений, получают заглавные латинские буквы в конце названия. Например, белый карлик в системе Сириуса имеет обозначения Сириус B, α Большого Пса B, HD 48915 B;
- переменные звёзды имеют более сложную систему обозначений, сложившуюся исторически. Если они не имеют обозначения по Байеру, то получают название в виде заглавной латинской буквы и созвездия, в котором они расположены, в порядке открытия, начиная с R (в некоторых случаях с Q). После буквы Z следуют двухбуквенные обозначения: начиная с RR до RZ, затем от SS до SZ и так далее, до ZZ. Дальше идут обозначения от AA до AZ, от BB до BZ и так далее до QQ до QZ, причём буква J не используется. Такой способ позволяет обозначить 334 звезды в каждом созвездии, после чего их обозначают V335, V336 и так далее. Среди таких названий — R Андромеды, RR Лиры и V1500 Лебедя;
- новые и сверхновые, хотя и относятся к переменным, имеют другую систему обозначений. Новые звёзды получают название по созвездию, в котором они были замечены и по году, например, новая Лебедя 1975 года, и одновременно название по системе переменных звёзд (эта же новая имеет обозначение V1500 Лебедя). Сверхновые звёзды обозначаются по году их открытия и по очерёдности их открытия: первые 26 обозначаются заглавными латинскими буквами от A до Z, затем строчными от aa до az, от ba до bz и так далее. Пример такого обозначения — SN1997bs[118].
История изучения
Представление о звёздах в древности
Люди с древности обращали внимание на небо и замечали на нём различные группы звёзд. Древнейшее наскальное изображение рассеянного звёздного скопления Плеяды, обнаруженное в пещере Ласко, датируется XVIII—XV тысячелетиями до нашей эры[119]. До наших дней дошли некоторые созвездия, описанные в шумерских звёздных каталогах, а из 48 созвездий, описанных Птолемеем во II веке н. э., 47 вошли в список из 88 созвездий, утверждённых Международным астрономическим союзом[120][121]. Некоторые яркие звёзды получали собственные имена, также различавшиеся в разных культурах, — наибольшее распространение получили арабские названия[117].
Звёздное небо использовалось и в прикладных целях. В Древнем Египте началом года считался день первого гелиакического восхода Сириуса[122]. Мореходы Минойской цивилизации, существовавшей с третьего тысячелетия до н. э., умели использовать звёзды для навигации[123].
Изучение видимых параметров звёзд
Значительное развитие астрономия получила в Древней Греции. Наиболее известный звёздный каталог того времени был составлен Гиппархом во II веке до н. э.: он содержал 850 звёзд, разделённых на 6 классов по блеску — в дальнейшем это разделение превратилось в современную систему звёздных величин[124]. Гиппарх также был первым, кто достоверно обнаружил переменную звезду, а именно новую приблизительно в 134 году до н. э[125]. После этого астрономы регулярно открывали новые и сверхновые звёзды: в Китае в течение X—XVII веков н. э. было обнаружено 12 новых и сверхновых. Среди них была сверхновая 1054 года, породившая Крабовидную туманность[122]. Однако переменные звёзды других типов стали открывать гораздо позже: первой из них стала Мира, переменность которой в 1609 году обнаружил Давид Фабрициус[62].
При этом о самих звёздах было известно мало: в частности, они считались расположенными на очень далёкой сфере неподвижных звёзд даже после коперниковской революции — этому способствовало большое расстояние до звёзд, из-за чего никакие их относительные движения заметить было невозможно[126], а догадки, что далёкие звёзды на самом деле подобны Солнцу, только появлялись и обосновывались чаще философски. Впервые оценить расстояние до звёзд попытался в 1695 году Христиан Гюйгенс: расстояние до Сириуса у него получилось равным 0,5 светового года, при этом оценивал расстояние он фотометрически. В 1718 году Эдмунд Галлей обнаружил собственные движения Альдебарана, Сириуса и Арктура. В то же время астрономы пытались обнаружить звёздные параллаксы, но точности измерений им не хватало. Тем не менее эти попытки привели к другим открытиям: в частности, в 1802—1803 годах Уильям Гершель смог доказать, что многие двойные звёзды являются физическими парами, а не оптически-двойными звёздами. Впервые звёздный параллакс в 1818—1821 годах сумел измерить для двух звёзд Василий Яковлевич Струве, причём для одной из них — Альтаира — величина оказалась очень близкой к современному значению, хотя сам Струве не был уверен в точности результата. В 1837 году он же измерил параллакс Веги, а вскоре за ним последовали результаты других астрономов[122].
Изучение физической природы звёзд
Далёкими от истины были представления и о природе звёзд — первым шагом к её изучению стали изобретение щелевого спектрографа и развитие спектрального анализа. Фраунгоферовы линии были открыты в 1815 году, хотя Исаак Ньютон изучал спектр Солнца ещё в 1666 году. Уже в 1860-х годах были определены составы атмосфер различных звёзд, в том числе и Солнца, и в то же время Густав Кирхгоф предположил существование фотосфер звёзд, в которых должен образовываться непрерывный спектр[39]. Другим вопросом, занимавшим учёных, был источник энергии звёзд: на рубеже XIX и XX веков была популярна идея, что звёзды светят, так как выделяют энергию при гравитационном сжатии. Проблема этой гипотезы была в том, что, по расчётам, для Солнца такого механизма должно было хватать на 107 лет, тогда как по геологическим сведениям Земля существовала уже не менее 109 лет. После открытия радиоактивности Джеймс Джинс попытался объяснить свет звёзд именно ей, но эта идея также не могла объяснить такой длительный срок жизни Солнца; ему же принадлежала гипотеза, что энергия выделяется за счёт аннигиляции. Наконец, в 1920 году Артур Эддингтон предположил, что энергия выделяется при превращении ядер водорода в ядра гелия, и, хотя он не представлял, как именно происходит это превращение, в конечном итоге эта догадка оказалась верной — уже в конце 1930-х годов были открыты протон-протонный и CNO-циклы превращения водорода в гелий. После того как был определён источник энергии звёзд, стали развиваться теории звёздной эволюции, которые позволили объяснить видимое разнообразие звёзд и их распределение на диаграмме Герцшпрунга — Рассела[122].
В культуре

Разные народы выделяли разные астеризмы и созвездия, но практически во всех культурах в созвездия объединяли звёзды Большой Медведицы, Ориона и Плеяд. Зачастую наблюдаемые фигуры на небе ассоциировались с теми или иными образами, предметами или животными, что у различных народов связывалось с их мифами и легендами. Многие современные созвездия связаны именно с древнегреческой мифологией[127][128]. Звёздное небо и звёзды на нём во многих ранних цивилизациях воспринимались как божественные сущности — предположительно, эта идея зародилась в Месопотамии и оттуда распространилась по всему миру. Там же возникла и астрология, которая до Нового времени не отделялась от астрономии[129][130].
Вид звёздного неба находит отражение и в более современных произведениях культуры. К примеру, ноктюрн — стиль живописи, которому присуще изображение ночных сцен, в частности ночного неба: одна из самых известных картин этого жанра — «Звёздная ночь» Винсента ван Гога. Также звёздам посвящаются различные произведения художественной литературы, а в научной фантастике зачастую рассматриваются конкретные звёзды или звёздные системы[131][132][133].
Часто звёзды рассматриваются в более символическом смысле: в различных языках слово «звезда» имеет множество переносных значений. Схематичное изображение звезды встречается на флагах более чем 40 стран, многие из которых исламские: в этой религии звезда и полумесяц — символ мира и жизни. Звёзды играют важную роль и в других религиях: например, в христианстве широко известен сюжет о Вифлеемской звезде[131].
Примечания
- ↑ 1 2 3 4 5 6 Star (англ.). Encyclopedia Britannica. Дата обращения: 18 октября 2020. Архивировано 1 января 2018 года.
- ↑ David Darling. Star (англ.). Encyclopedia of Science. Дата обращения: 18 октября 2020. Архивировано 21 октября 2020 года.
- ↑ 1 2 Сурдин, 2015, с. 138—139.
- ↑ 1 2 Засов А. В.. Размеры звезд (методы определения). Астронет. Дата обращения: 29 октября 2020. Архивировано 23 июля 2020 года.
- ↑ Киселёв А. А.. Собственные движения «неподвижных» звезд и их значение в астрономии. Астронет. Дата обращения: 26 октября 2020. Архивировано 25 июля 2003 года.
- ↑ 1 2 3 4 5 ЗВЁЗДЫ : [арх. 22 октября 2020] / А. В. Тутуков // Железное дерево — Излучение. — М. : Большая российская энциклопедия, 2008. — С. 331—334. — (Большая российская энциклопедия : [в 35 т.] / гл. ред. Ю. С. Осипов ; 2004—2017, т. 10). — ISBN 978-5-85270-341-5.
- ↑ Кононович, Мороз, 2004, с. 14.
- ↑ The Constellations. International Astronomical Union. Дата обращения: 26 октября 2020. Архивировано 14 октября 2021 года.
- ↑ David Darling. Brightest stars. Encyclopedia of Science. Дата обращения: 18 октября 2020. Архивировано 23 октября 2020 года.
- ↑ Кононович, Мороз, 2004, с. 171.
- ↑ David Darling. Nearest stars. Encyclopedia of Science. Дата обращения: 18 октября 2020. Архивировано 21 октября 2020 года.
- ↑ Псковский Ю. П. Расстояния до космических объектов (методы определения). Астронет. Дата обращения: 30 октября 2020. Архивировано 4 июня 2008 года.
- ↑ ВО́ЛЬФА-РАЙЕ́ ЗВЁЗДЫ : [арх. 25 февраля 2021] / А. М. Черепащук // Великий князь — Восходящий узел орбиты. — М. : Большая российская энциклопедия, 2006. — С. 692. — (Большая российская энциклопедия : [в 35 т.] / гл. ред. Ю. С. Осипов ; 2004—2017, т. 5). — ISBN 5-85270-334-6.
- ↑ Сурдин, 2015, с. 148—149.
- ↑ Кононович, Мороз, 2004, с. 371.
- ↑ 1 2 3 Кононович, Мороз, 2004, с. 373.
- ↑ Куликовский П. Г.. Массы небесных тел (методы определения). Астронет. Дата обращения: 30 октября 2020. Архивировано 7 ноября 2020 года.
- ↑ Fundamental Astronomy, 2007, p. 247.
- ↑ Supergiant star (англ.). Encyclopedia Britannica. Дата обращения: 4 ноября 2020. Архивировано 26 ноября 2020 года.
- ↑ Nola Taylor. What Is the Biggest Star? (англ.). Space.com (26 июля 2018). Дата обращения: 3 января 2021. Архивировано 21 января 2021 года.
- ↑ Jake Parks. Meet the most extreme stars (англ.). Astronomy.com (23 сентября 2020). Дата обращения: 3 января 2021. Архивировано 24 января 2021 года.
- ↑ Stephenson 2-18 (St2-18) (англ.). Star Facts (13 сентября 2020). Дата обращения: 3 января 2021. Архивировано 7 февраля 2021 года.
- ↑ Stars Just Got Bigger — A 300 Solar Mass Star Uncovered (англ.). ESO (21 июля 2010). Дата обращения: 24 апреля 2021. Архивировано 4 мая 2019 года.
- ↑ Рузмайкин А. А. Магнитные поля Солнца и звёзд. Астронет. Дата обращения: 24 октября 2020. Архивировано 27 октября 2020 года.
- ↑ Fundamental Astronomy, 2007, p. 230.
- ↑ Сурдин, 2015, с. 120—123.
- ↑ Сурдин, 2015, с. 137.
- ↑ Кононович, Мороз, 2004, с. 249, 392—399.
- ↑ Сурдин, 2015, с. 135—136.
- ↑ Кононович, Мороз, 2004, с. 249.
- ↑ Строение звезд главной последовательности. Астронет. Дата обращения: 24 октября 2020. Архивировано 5 июля 2020 года.
- ↑ Main Sequence Star. The Astrophysics Spectator. Дата обращения: 24 октября 2020. Архивировано 21 июля 2018 года.
- ↑ 1 2 3 4 5 ЗВЁЗДНЫЕ АТМОСФЕ́РЫ : [арх. 26 октября 2020] / Н. А. Сахибуллин // Железное дерево — Излучение. — М. : Большая российская энциклопедия, 2008. — С. 324—325. — (Большая российская энциклопедия : [в 35 т.] / гл. ред. Ю. С. Осипов ; 2004—2017, т. 10). — ISBN 978-5-85270-341-5.
- ↑ Черепащук А. М.. Потемнение к краю. Астронет. Дата обращения: 27 октября 2020. Архивировано 30 октября 2020 года.
- ↑ ФОТОСФЕ́РА ЗВЁЗД : [арх. 11 декабря 2019] // Уланд — Хватцев. — М. : Большая российская энциклопедия, 2017. — С. 519. — (Большая российская энциклопедия : [в 35 т.] / гл. ред. Ю. С. Осипов ; 2004—2017, т. 33). — ISBN 978-5-85270-370-5.
- ↑ ХРОМОСФЕ́РЫ ЗВЁЗД : [арх. 27 октября 2020] // Хвойка — Шервинский. — М. : Большая российская энциклопедия, 2017. — С. 206. — (Большая российская энциклопедия : [в 35 т.] / гл. ред. Ю. С. Осипов ; 2004—2017, т. 34). — ISBN 978-5-85270-372-9.
- ↑ КОРО́НЫ ЗВЁЗД : [арх. 19 июля 2020] / М. М. Кацова // Конго — Крещение. — М. : Большая российская энциклопедия, 2010. — С. 358. — (Большая российская энциклопедия : [в 35 т.] / гл. ред. Ю. С. Осипов ; 2004—2017, т. 15). — ISBN 978-5-85270-346-0.
- ↑ ЗВЁЗДНЫЙ ВЕ́ТЕР : [арх. 26 октября 2020] / С. А. Ламзин // Железное дерево — Излучение. — М. : Большая российская энциклопедия, 2008. — С. 328—329. — (Большая российская энциклопедия : [в 35 т.] / гл. ред. Ю. С. Осипов ; 2004—2017, т. 10). — ISBN 978-5-85270-341-5.
- ↑ 1 2 Paul W. Merrill. Lines of the chemical elements in astronomical spectra // Papers of the Mount Wilson Observatory. — Washington: Carnegie Institution, 1958.
- ↑ 1 2 3 4 5 Stellar classification (англ.). Encyclopedia Britannica. Дата обращения: 18 октября 2020. Архивировано 3 мая 2021 года.
- ↑ 1 2 3 Кононович, Мороз, 2004, с. 369.
- ↑ Сурдин В. Г.. Классификации звёзд. Астронет. Дата обращения: 29 октября 2020. Архивировано 6 августа 2020 года.
- ↑ Кононович, Мороз, 2004, с. 377.
- ↑ Nolan R. Walborn, Ian D. Howarth, Daniel J. Lennon, Philip Massey, M. S. Oey. A New Spectral Classification System for the Earliest O Stars: Definition of Type O2 (англ.) // The Astronomical Journal. — Bristol: IOP Publishing, 2002. — Vol. 123, iss. 5. — P. 2754. — ISSN 1538-3881. — doi:10.1086/339831. Архивировано 30 октября 2020 года.
- ↑ Кононович, Мороз, 2004, с. 370.
- ↑ 1 2 3 Fundamental Astronomy, 2007, pp. 209—210.
- ↑ David Darling. Numbers of stars. Encyclopedia of Science. Дата обращения: 22 октября 2020. Архивировано 9 июня 2021 года.
- ↑ Zombeck M. V. Handbook of Space Astronomy and Astrophysics 68—70. Cambridge University Press. Дата обращения: 15 июня 2021. Архивировано 29 декабря 2010 года.
- ↑ Gray R. O., Corbally C. J. Stellar spectral classification. — Princeton; Woodstock: Princeton University Press, 2009. — С. 568. — 592 p. — ISBN 978-0-691-12510-7. — [Архивировано 15 апреля 2021 года.]
- ↑ Allard F., Homeier D. Brown dwarfs (англ.) // Scholarpedia. — 2007-12-17. — Vol. 2, iss. 12. — P. 4475. — ISSN 1941-6016. — doi:10.4249/scholarpedia.4475. Архивировано 15 мая 2021 года.
- ↑ Римские цифры означают степень ионизации атома. I — нейтральный атом, II — однократно ионизованный, III — дважды ионизованный и так далее.
- ↑ Fundamental Astronomy, 2007, p. 209.
- ↑ Сурдин, 2015, с. 148.
- ↑ 1 2 3 David Darling. Main sequence. Encyclopedia of Science. Дата обращения: 22 октября 2020. Архивировано 29 октября 2020 года.
- ↑ Fundamental Astronomy, 2007, pp. 212—213.
- ↑ Spectral Classification. www.cfa.harvard.edu. Дата обращения: 29 октября 2020. Архивировано 14 ноября 2020 года.
- ↑ Кононович, Мороз, 2004, с. 370—371.
- ↑ 1 2 3 ПЕРЕМЕ́ННЫЕ ЗВЁЗДЫ : [арх. 9 мая 2021] / Н. Н. Самусь // П — Пертурбационная функция. — М. : Большая российская энциклопедия, 2014. — С. 639—640. — (Большая российская энциклопедия : [в 35 т.] / гл. ред. Ю. С. Осипов ; 2004—2017, т. 25). — ISBN 978-5-85270-362-0.
- ↑ Variable star (англ.). Encyclopedia Britannica. Дата обращения: 20 октября 2020. Архивировано 23 октября 2020 года.
- ↑ 1 2 3 David Darling. Variable star. Encyclopedia of Science. Дата обращения: 20 октября 2020. Архивировано 26 октября 2020 года.
- ↑ 1 2 Ефремов Ю. Н.. Переменные звёзды. Астронет. Дата обращения: 25 октября 2020. Архивировано 28 октября 2020 года.
- ↑ 1 2 Сурдин, 2015, с. 163.
- ↑ GCVS Introduction. www.sai.msu.su. Дата обращения: 20 октября 2020. Архивировано 26 октября 2020 года.
- ↑ David Darling. Variable star naming. Encyclopedia of Science. Дата обращения: 20 октября 2020. Архивировано 18 сентября 2020 года.
- ↑ David Darling. Pulsating variable. Encyclopedia of Science. Дата обращения: 20 октября 2020. Архивировано 5 декабря 2017 года.
- ↑ David Darling. Eruptive variable. Encyclopedia of Science. Дата обращения: 20 октября 2020. Архивировано 26 октября 2020 года.
- ↑ David Darling. Cataclysmic variable. Encyclopedia of Science. Дата обращения: 20 октября 2020. Архивировано 30 октября 2020 года.
- ↑ David Darling. Eclipsing binary. Encyclopedia of Science. Дата обращения: 20 октября 2020. Архивировано 27 октября 2020 года.
- ↑ David Darling. Rotating variable. Encyclopedia of Science. Дата обращения: 20 октября 2020. Архивировано 26 октября 2020 года.
- ↑ 1 2 3 ДВОЙНЫ́Е ЗВЁЗДЫ : [арх. 24 октября 2020] / А. В. Тутуков // Григорьев — Динамика. — М. : Большая российская энциклопедия, 2007. — С. 376. — (Большая российская энциклопедия : [в 35 т.] / гл. ред. Ю. С. Осипов ; 2004—2017, т. 8). — ISBN 978-5-85270-338-5.
- ↑ 1 2 Fundamental Astronomy, 2007, pp. 221—226.
- ↑ 1 2 3 David Darling. Binary star. Encyclopedia of Science. Дата обращения: 23 октября 2020. Архивировано 27 октября 2020 года.
- ↑ ТЕ́СНЫЕ ДВОЙНЫ́Е ЗВЁЗДЫ : [арх. 24 октября 2020] / Н. И. Шакура // Телевизионная башня — Улан-Батор. — М. : Большая российская энциклопедия, 2016. — С. 98. — (Большая российская энциклопедия : [в 35 т.] / гл. ред. Ю. С. Осипов ; 2004—2017, т. 32). — ISBN 978-5-85270-369-9.
- ↑ David Darling. Star cluster. Encyclopedia of science. Дата обращения: 23 октября 2020. Архивировано 30 октября 2020 года.
- ↑ 1 2 3 4 Сурдин, 2015, с. 287—295.
- ↑ David Darling. Globular cluster. Encyclopedia of Science. Дата обращения: 23 октября 2020. Архивировано 30 октября 2020 года.
- ↑ 1 2 Кононович, Мороз, 2004, с. 440—442.
- ↑ David Darling. Open cluster. Encyclopedia of Science. Дата обращения: 23 октября 2020. Архивировано 30 октября 2020 года.
- ↑ Stellar association (англ.). Encyclopedia Britannica. Дата обращения: 23 октября 2020. Архивировано 26 октября 2020 года.
- ↑ David Darling. Stellar association. Encyclopedia of Science. Дата обращения: 23 октября 2020. Архивировано 29 октября 2020 года.
- ↑ Кононович, Мороз, 2004, с. 440—444.
- ↑ Galaxy (англ.). Encyclopedia Britannica. Дата обращения: 23 октября 2020. Архивировано 19 октября 2021 года.
- ↑ Fundamental Astronomy, 2007, p. 367.
- ↑ Кононович, Мороз, 2004, с. 439—440.
- ↑ Сурдин, 2015, с. 336—340.
- ↑ Кононович, Мороз, 2004, с. 468—471.
- ↑ Эволюция звёзд. Энциклопедия физики и техники. Дата обращения: 11 июля 2020. Архивировано 10 июля 2020 года.
- ↑ Жизнь звёзд. www.sai.msu.su. Дата обращения: 11 июля 2020. Архивировано 1 июля 2020 года.
- ↑ Как выглядит жизненный цикл звезды? new-science.ru. Дата обращения: 11 июля 2020. Архивировано 11 июля 2020 года.
- ↑ Постнов К. А.. Во что превращаются звезды в конце жизни. Астронет. Дата обращения: 11 июля 2020. Архивировано 12 июля 2020 года.
- ↑ Bertulani C. A.. Nuclei in the Cosmos. — Singapore: World Scientific, 2013. — ISBN 978-981-4417-66-2.
- ↑ 1 2 Миронова И. Главная последовательность. Астронет. Дата обращения: 11 июля 2020. Архивировано 29 июня 2020 года.
- ↑ Черепащук А. М.. Тесные двойные звезды на поздних стадиях эволюции. Астронет. Дата обращения: 16 июля 2020. Архивировано 20 октября 2015 года.
- ↑ Я́ДЕРНЫЕ РЕА́КЦИИ В ЗВЁЗДАХ : [арх. 23 октября 2020] / Д. К. Надёжин // Шервуд — Яя. — М. : Большая российская энциклопедия, 2017. — С. 631—632. — (Большая российская энциклопедия : [в 35 т.] / гл. ред. Ю. С. Осипов ; 2004—2017, т. 35). — ISBN 978-5-85270-373-6.
- ↑ 1 2 Сурдин, 2015, с. 128—134.
- ↑ Кононович, Мороз, 2004, с. 413.
- ↑ Взрывной нуклеосинтез. Энциклопедия физики и техники. Дата обращения: 18 июля 2020. Архивировано 18 июля 2020 года.
- ↑ Кононович, Мороз, 2004, с. 386—392.
- ↑ Сурдин В. Г., Ламзин С. А. Протозвёзды. Где, как и из чего формируются звёзды. От облака к звезде. Астронет (1992). Дата обращения: 11 июля 2020. Архивировано 23 сентября 2015 года.
- ↑ Кононович, Мороз, 2004, с. 394—395.
- ↑ Fundamental Astronomy, 2007, p. 243.
- ↑ Кононович, Мороз, 2004, с. 356—358.
- ↑ 1 2 Gregory Laughlin, Peter Bodenheimer, Fred C. Adams. The End of the Main Sequence (англ.) // The Astrophysical Journal. — Bristol: IOP Publishing, 1997. — 1 June (vol. 482). — ISSN 0004-637X. — doi:10.1086/304125. Архивировано 5 октября 2018 года.
- ↑ Darling D. Subdwarf. Encyclopedia of Science. Дата обращения: 25 октября 2020. Архивировано 31 октября 2020 года.
- ↑ 1 2 Кононович, Мороз, 2004, с. 399.
- ↑ Сурдин, 2015, с. 158.
- ↑ 1 2 3 4 5 Fundamental Astronomy, 2007, pp. 249—254.
- ↑ 1 2 Сурдин, 2015, с. 154—161.
- ↑ 1 2 3 4 Кононович, Мороз, 2004, с. 418—421.
- ↑ Утробин В. П. Сверхновые звезды. Астронет. Дата обращения: 25 октября 2020. Архивировано 28 октября 2020 года.
- ↑ ЗВЁЗДНЫЕ КАТАЛО́ГИ : [арх. 30 октября 2020] / К. В. Куимов // Железное дерево — Излучение. — М. : Большая российская энциклопедия, 2008. — С. 326. — (Большая российская энциклопедия : [в 35 т.] / гл. ред. Ю. С. Осипов ; 2004—2017, т. 10). — ISBN 978-5-85270-341-5.
- ↑ Star catalog (англ.). Encyclopedia Britannica. Дата обращения: 26 октября 2020. Архивировано 7 августа 2020 года.
- ↑ Кононович, Мороз, 2004, с. 153—155.
- ↑ Gaia overview (англ.). ESA. Дата обращения: 10 октября 2021. Архивировано 10 октября 2021 года.
- ↑ Gaia EDR3 content - Gaia - Cosmos. ESA. Дата обращения: 10 октября 2021. Архивировано 10 декабря 2020 года.
- ↑ 1 2 3 4 5 Naming Stars. International Astronomical Union. Дата обращения: 26 октября 2020. Архивировано 11 апреля 2020 года.
- ↑ 1 2 Названия звёзд. Астромиф. Дата обращения: 27 октября 2020. Архивировано 23 октября 2020 года.
- ↑ List of Supernovae. Central Bureau for Astronomical Telegrams. Дата обращения: 26 октября 2020. Архивировано 12 мая 2020 года.
- ↑ Екатерина Русакова. Астрономы определили возраст древней поэмы по звездам. N+1 (16 мая 2016). Дата обращения: 27 октября 2020. Архивировано 31 октября 2020 года.
- ↑ Кратчайшая история созвездий. Астромиф. Дата обращения: 27 октября 2020. Архивировано 31 октября 2020 года.
- ↑ ЗВЁЗДНОЕ НЕ́БО : [арх. 24 октября 2020] / В. Г. Сурдин // Железное дерево — Излучение. — М. : Большая российская энциклопедия, 2008. — С. 319—323. — (Большая российская энциклопедия : [в 35 т.] / гл. ред. Ю. С. Осипов ; 2004—2017, т. 10). — ISBN 978-5-85270-341-5.
- ↑ 1 2 3 4 История астрономии. Институт истории естествознания и техники им. С. И. Вавилова. Дата обращения: 31 октября 2020. Архивировано 29 июня 2020 года.
- ↑ Navigation. National Geographic. National Geographic Society (21 января 2011). Дата обращения: 31 октября 2020. Архивировано 23 октября 2020 года.
- ↑ Звездная величина. Астронет. Дата обращения: 31 октября 2020. Архивировано 31 июля 2020 года.
- ↑ Antonios D. Pinotsis. Astronomy in Ancient Rhodes. conferences.phys.uoa.gr. Дата обращения: 31 октября 2020. Архивировано 7 сентября 2017 года.
- ↑ Открытие Солнечной системы. Московский планетарий. Дата обращения: 31 октября 2020. Архивировано 6 ноября 2020 года.
- ↑ Берёзкин Ю. Е. Рождение звездного неба: представления о ночных светилах в исторической динамике.. — СПб.: МАЭ РАН, 2017. — 316 с. — ISBN 978-5-88431-326-2. — [Архивировано 31 октября 2020 года.]
- ↑ Ian Ridpath. Ian Ridpath’s Star Tales — Constellation Mythology and History. Дата обращения: 31 октября 2020. Архивировано 25 октября 2020 года.
- ↑ Nature worship — Stars and constellations (англ.). Encyclopedia Britannica. Дата обращения: 31 октября 2020. Архивировано 20 ноября 2020 года.
- ↑ АСТРОЛО́ГИЯ : [арх. 28 января 2021] / Г. Е. Куртик, А. И. Кобзев, В. Г. Лысенко // Анкилоз — Банка. — М. : Большая российская энциклопедия, 2005. — С. 404—408. — (Большая российская энциклопедия : [в 35 т.] / гл. ред. Ю. С. Осипов ; 2004—2017, т. 2). — ISBN 5-85270-330-3.
- ↑ 1 2 Varadaraja Venkata Raman. Impact of Stars on Human Culture (англ.) // Astronomy and Civilization in the New Enlightenment: Passions of the Skies / Anna-Teresa Tymieniecka, Attila Grandpierre. — Dordrecht: Springer Netherlands, 2011. — P. 151—165. — ISBN 978-90-481-9748-4. — doi:10.1007/978-90-481-9748-4_16.
- ↑ Alina Cohen. From Van Gogh to Vija Celmins, These Artists Have Made the Night Sky Their Muse (англ.). Artsy (7 июня 2018). Дата обращения: 3 января 2021. Архивировано 16 мая 2021 года.
- ↑ James Davis Nicoll. Classic Sci-Fi Star Systems Keep Getting Ruined by Science (англ.). Tor.com (23 июля 2018). Дата обращения: 3 января 2021. Архивировано 25 января 2021 года.
Литература
- Кононович Э. В., Мороз В. И. Общий курс астрономии. — 2-е, исправленное. — М.: Едиториал УРСС, 2004. — 544 с. — ISBN 5-354-00866-2.
- Сурдин В. Г. Астрономия: век XXI. — 3-е изд. — М.: Век 2, 2015. — 608 с. — ISBN 978-5-85099-193-7.
- Шкловский И. С. Звезды: их рождение, жизнь и смерть — 3-е изд., перераб. — М.: Наука, 1984. — 384 с.
- Шкловский И. С. Вселенная, жизнь, разум. — 6-е изд., доп.— М.: Наука, 1987. — 320 с.
- Karttunen H., Kroger P., Oja H., Poutanen M., Donner K. J. Fundamental Astronomy. — 5th Edition. — Berlin: Springer, 2007. — 510 p. — ISBN 978-3-540-34143-7.
Ссылки
- Kaler, James. Portraits of Stars and their Constellations. University of Illinois. Дата обращения: 20 августа 2010.
- Prialnick, Dina; Wood, Kenneth; Bjorkman, Jon; Whitney, Barbara; Wolff, Michael; Gray, David; Mihalas, Dimitri. Stars: Stellar Atmospheres, Structure, & Evolution. University of St. Andrews (2001). Дата обращения: 20 августа 2010.